Recibido: 7 de noviembre del 2016
Aceptado: 9 de mayo del 2018
Publicado: 28 de enero del 2019
Cómo citar:

Arnaud, G., Sandoval, S., Escobar-Flores, J. G., Gomez-Muñoz, V. M., & Burguete, J. L. (2018). Thermal ecology of the Rattlesnake Crotalus catalinensis from Santa Catalina Island, Gulf of California. Acta Universitaria, 28(6), 39-46. doi: 10.15174/au.2018.1667

doi:10.15174/au.2018.1667 ǀ ISSN online 2007 - 9621
Thermal ecology of the Rattlesnake Crotalus catalinensis from Santa Catalina Island, Gulf of California
Ecología térmica en la serpiente de cascabel Crotalus catalinensis en Isla Santa Catalina, Golfo de California

Gustavo Arnaud*, Sarahi Sandoval**º, Jonathan G. Escobar-Flores***, Victor M. Gomez-Muñoz****, Jose L. Burguete*****

*Centro de Investigaciones Biológicas del Noroeste, S.C.
**CONACYT- Instituto Politécnico Nacional, CIIDIR Unidad Durango, Sigma 119, Fraccionamiento 20 de Noviembre II, Durango, Durango 34220, México. E-mail: ssandoval@conacyt.mx
*** Instituto Politécnico Nacional, CIIDIR Unidad Durango.
**** CICIMAR- Instituto Politécnico Nacional.
***** Facultad de Biología, Universidad Michoacana de San Nicolás de Hidalgo.
° Autor de correspondencia.
Keywords:
Crotalus catalinensis; reptile; thermoregulation; Santa Catalina Island.
Palabras Clave:
Crotalus catalinensis; reptiles; termorregulación; Isla Santa Catalina.

ABSTRACT

The body temperature of the Santa Catalina Island rattlesnake (Crotalus catalinensis) is reported for the first time. C. catalinensis presented a broad range of body temperature (13.6 °C - 38.2 °C; X = 25.9 °C; N = 65). The interval substrate temperature associated with the snakes is between 14.8 °C and 37.9 °C, while the ambient temperature ranges from 16.4 °C to 36.2 °C. A higher correlation was found between body temperature and substrate. No significant differences between sexes were observed. The lower active temperature recorded was during March (14.0 °C - 23.7 °C), while the highest temperature occurred in November (19.4 °C - 39.6 °C). The relative humidity recorded was between 53.15% and 77.32%. The open ground habitat without vegetation was the most frequented by snakes. It had been reported that C. catalinensis presented diurnal and nocturnal habits; however, we found that it exhibited only nocturnal habits, even during winter periods. C. catalinensis exhibited, like other rattlesnakes, thermo-conformist behavior, its body temperature correlating with soil temperature; however, the question about whether other rattlesnakes’ pattern of activity is also influenced by relative humidity as it did with C. catalinensis (which is an island species) arises.

RESUMEN

La temperatura corporal de la serpiente de cascabel (Crotalus catalinensis) en Isla Santa Catalina es reportada por primera vez. C. catalinensis, tienen un amplio rango de temperaturas corporales oscilando entre los 13.6 °C - 38.2 °C; X = 25.9 °C; N = 65, el rango de las temperaturas del sustrato asociadas con las serpientes es entre 14.8 °C - 37.9 °C, mientras que las temperaturas ambientales oscilaron entre 16.4 °C a 36.2 °C. Se encontró una mayor correlación entre las temperaturas corporales y el sustrato. No se observaron diferencias significativas entre los sexos. Las temperaturas más bajas registradas fueron durante marzo (14.0 °C - 23.7 °C), mientras que las temperaturas más altas se produjeron en noviembre (19.4 °C - 39.6 °C). La humedad relativa registrada fue de 53.15% a 77.32 %. El hábitat de suelo abierto sin vegetación fue el más frecuentado por las serpientes. Había sido reportado que C. catalinensis presentaba hábitos diurnos y nocturnos; sin embargo, nosotros encontramos que solo exhibía hábitos nocturnos, incluso durante los períodos de invierno. Crotalus catalinensis exhibió, como otras serpientes de cascabel, comportamiento termoconformista, correlacionando su temperatura corporal con la temperatura del suelo, sin embargo, surge la pregunta si en otras serpientes de cascabel también su patrón de actividad está influenciado por la humedad relativa como ocurrió con C. catalinensis, que es una especie isleña.

INTRODUCTION

Vertebrates have two strategies of thermoregulation: thermoconformity (lack of behavioral regulation) and accurate thermoregulation (Huey & Slatkin, 1976). In reptiles, the thermoregulation process is essential to understand the ecology and distribution of reptiles (Huey, 1982; Seebacher & Shine, 2004). Environmental temperature is well known to have profound effects on physiological processes, predominantly in ectotherms because they directly influence their body temperature (Hill, 1980), resulting in considerable energy savings as compared with homeotherms. Ectotherms do not have thermal imbalances between their body temperature and that of the environment, but their cells, tissues, and organs create changes in their internal temperature and produce metabolic heat in low proportions; therefore, to determine heat exchange with the environment, it is most important to differentiate body heat from metabolic heat production. Furthermore, reptiles can nevertheless regulate somewhat their body temperature by changing activity, location and/or posture (Eckert, 1990).

To promote their optimal physiological performance, ectotherms employ thermoregulatory behaviors such as basking and microhabitat selection for locomotion, energy acquisition or reproduction (Bulte & Blouin-Demers, 2010; Stevenson, 1985).

Snakes obtain heat from their physical environments to maintain their body temperature, but thermal environments are constantly changing, therefore, it has been proposed that they modify their behavior to control their body temperature. Thus, in places where thermal temperatures are high and lower temperatures variations during daylight are limited, snakes are nocturnal or spend time in their hidden retreat-sites (Kearney, 2002; Kearney & Predavec, 2000; Webb & Shine, 1998).

The rattlesnake Crotalus catalinensis is an endemic snake from Santa Catalina Island in the Gulf of California, Mexico. They are a part of the Viperidae family; their average size is 689 mm (snout-vent length). The coloration considered in those snakes is a light gray tone (clear) and there are also some brown ones (dark), as described by (Beaman & Wong, 2001). They have arboreal habits but use vegetation only occasionally, and males are slightly larger than females (Beaman & Wong, 2001; Campbell & Lamar, 1989; Grismer, 2002; Martins, Arnaud & Murillo, 2008). This is a critically endangered species and is included in the Official Mexican Norm 059-SEMARNAT-2010 (Diario Oficial de la Federación [DOF], 2010) under the category of threatened species; it is also included in the Red List of the International Union for Conservation of Nature (IUCN), under the Critically Endangered species category (Ávila-Villegas, Martins & Arnaud, 2007).

The behavior of Crotalus catalinensis is interesting since, apparently, they do not hibernate, and there is no information about their thermal ecology. The aim of this study was to identify the body temperature of the rattlesnake C. catalinensis and its relationship between environmental and surface temperature throughout different periods of the year.

MATERIALS AND METHODS

Study site

Santa Catalina Island is a granitic landmass of 40.99 km2 (25°42'40.33'' N, 110°46'32.11'' W; 25°35'43.05'' N, 110°44'42'' W), in the Gulf of Baja California, Mexico (figure 1) (Carreño & Helenes, 2002; Comisión Nacional de Áreas Naturales Protegidas [Conanp], 2000). In this region there are three distinct climate periods depending on precipitation differences: 1) Dry season (March through June); 2) Rainy season summer-autumn (July through October), presenting a slight predominance of cyclonic activity in the tropical Pacific; and 3) Rainy season in winter (November through February). The maximum temperature between July and August is 36 °C, and the minimum temperature during the month of January is 11 °C (Salinas-Zavala, Leyva-Contreras, Lluch-Belda & Díaz-Rivera, 1990).


Figura 1 Download

Santa Catalina Island in the Gulf of California, Mexico.
Source: Author's own elaboration.

The island has xeric sarcocaule scrub vegetation, with a predominance of shrubs such as Copal (Bursera hindsiana), Red Torote (Bursera microphylla), the Matacora (Jatropha cuneata), Ironwood (Olneya tesota), Sweet Pitahaya (Stenocereus gummosus) and Sour (Stenocereus thurberi) Cardon (Pachycereus pringlei), and an endemic species of Giant Barrel Cactus (Ferocactus diguetii) (Wiggins, 1980).

Fieldwork

Four samplings were done in Santa Catalina Island during 2007, corresponding to the four seasons of the year, March, May, September, November, but the samplings were divided by dry season (March-May) and rainy season (September-November).

The search for rattlesnakes was performed one hour before nightfall and until one hour before midnight (1800 h - 2300 h). They were caught and held with herpetological tweezers for their manipulation. The rattlesnakes that were present in the different seasons (dry and rainy) were documented, and their sex was determined by a "cloacal test" (Schaefer, 1934). The snake's body temperature (Tc) data were taken by averaging five measurements and five of the substrate temperatures (Ts). Also, measures were the air temperature (Ta), the relative humidity (HR), measured with a hygro-thermometer (Skymate-Weather Meter) 1 m above the ground, soil temperature (To) in the shade (Tshade) and in the sun (Tsun) measured with a digital infrared thermometer (Raytek-Fluke 62-MAX).

To collect the data of operative temperature, defined as temperature of an inanimate object of zero heat capacity with the same size, shape and radiative properties as an animal exposed to the same microclimate (Bakken & Gates, 1975), two cylindrical cooper models were used, whose dimensions were similar to those used with adult snakes. These models were placed on the ground with the same orientation with respect to sunrise; on the ground under vegetation cover (in the shade) and without plant cover (sunny all the time), the readings were recorded each hour for a period of 24 h, during each sampling period.

The season analysis (dry and rainy seasons) of the rattlesnake distribution observed during sampling periods was carried out by microhabitat, assigning categories to specific sites where each rattlesnake was first observed under mulch, in bushes, under stones or in dead cactuses, during dry and rainy seasons.

Data analysis

Pearson's correlation was used to determine the relationship between body temperature and surface temperature and, also, between body temperature and the surrounding environment. Analysis of variance (Anova) was used to assess differences between means. Student’s tests were used to determine whether the slopes of regression lines had any significant differences.

A contingency table was used to record the seasonal variation of the rattlesnake’s temperature. The substrate and environmental temperature were compared with each other, and frequency graphs were generated to analyze trends between these temperatures.

An analysis of covariance (Anova) was used to identify whether there were significant differences between body temperature of males as compared to females as well as the differences between dark and light color rattlesnakes. A controlled variance of the most correlated changeable body temperature was applied and the value of significance for all statistical tests was p < 0.05 (Sokal & Rohlf, 1995).

Based on the frequency of sightings of the rattlesnake among microhabitats (whether under mulch, in bushes, under stones or in dead cactuses during dry and rainy seasons), during dry and rainy seasons, the rattlesnakes’ temperatures were compared with Chi-square (X2). The differences between body temperature of snakes using different microhabitats, between dry and rainy periods, were evaluated with variance analysis (Anova).

RESULTS

Thermoregulatory behavior of snakes

The body temperature (Tc) in C. catalinensis were 13.6 °C - 38.2 °C; X = 25.9 °C; N = 65: March (N = 18), May (N = 14), September (N = 22) and November (N = 11). Substrate temperature (Ts) associated with the rattlesnakes was 14.8 °C - 37.9 °C; = 25.9, while air temperature (Ta) was 16.4 °C - 36.2 °C; X = 25.5 °C. When analyzing body temperature in males (15.7 °C to 38.2 °C; X = 24.97; N = 33) and females (13.6 °C to 37 °C; X = 25.70; N = 26), no significant differences were observed (F = 0.22, p > 0.64) between sexes.

The scatter diagram showed a higher correlation between body temperature and substrate (R2 = 0.97, p <0.001) between the Tc and Ta (R2 = 0.88, p < 0.001) (figure 2).


Figura 2 Download

a) Correlation between substrate temperature (Ts) and b) air temperature (Ta) versus body temperature (Tc).
Source: Author's own elaboration.

Four trends were observed between environmental temperature and relative substrate around 17 °C, 22 °C, 25 °C and 30 °C was reflected in each of the sampled seasons (figure 3).


Figura 3 Download

Frequencies in rattlesnake body, air and substrate temperature during the seasons of the year.
Source: Author's own elaboration.

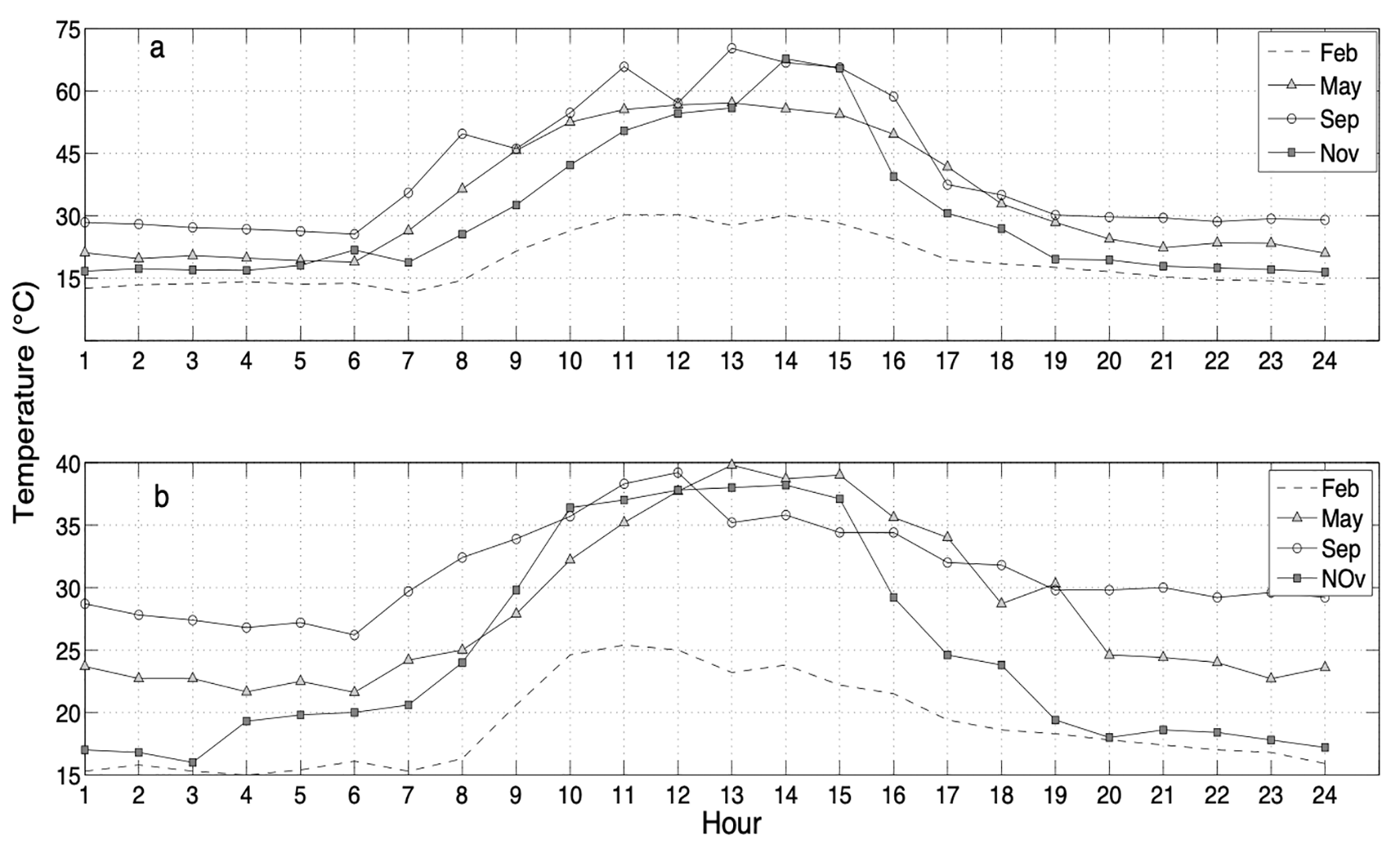
The lowest air temperature recorded was present during March (14 °C-23.7 °C; X = 18.04), while the highest temperature occurred in November (19.4 °C-39.6 °C; X = 24.6). The temperatures in May (20.3 °C-38 °C; X = 28.02 °C), September (25.2 °C-35.2 °C; X = 30.1) and February (14.3 °C - 22.8 °C; X = 18.03 °C) are shown in figure 4.


Figura 4 Download

Air temperature cycle during five months of monitoring in Santa Catalina Island.
Source: Author's own elaboration.

During dry season periods, body temperature had no relation to temperature in the shade (To) (R2 = 0.45; p > 0.05; Tc = 45.49 Toshade). However, a positive and significant relationship with soil temperature in the sun (R2 = 0.65; p < 0.05; Tc = 45.42 Tosun) was found. This pattern was different during the rains where body temperature showed a significant relationship with temperature in the shade (R2 = 0.72; p < 0.05; Tc = 47.36 Toshade) and temperature under sunlight (R2 = 0.82; p <0.05; Tc = 47.36 Tosun) (figure 5).


Figura 5 Download

Operative temperature registered in: a) sun exposure substrate microhabitat, and b) shaded microhabitat.
Source: Author's own elaboration

Crotalus catalinensis is widely distributed on the island with a relative humidity (RH) of no more than 78%. It obtained a RHs of 53.15% (March), 46.62% (May), 74.64% (September), 72.79% (November) and 77.32% (February). However, there were significant differences in microhabitats used at different intervals of humidity. At a range of 48%-73%, rattlesnakes preferred the open ground, and between 36.3%-62.1%, they were frequently found under bushes (X2 = 36.21, g = 11, p < 0.05).

The habitat used by sex showed significant differences. Females had a higher preference for open soil and dead cardon (X2 = 15.22, gl. 2, p <0.05), whereas males preferred soils without vegetation and low shrubs (X2 = 13.28, gl. 2, p < 0.05).

Regarding the color pattern of snakes (light and dark), no significant differences (Anova) were observed in relation to the substrate temperature as a covariate (F = 113.8, p < 0.001) for clear coloration (17.2 °C-37.0 °C; X =27.31 °C; N = 17) and (13.6 °C - 38.2 °C; X = 25.26 °C; N = 48) for dark coloration.

Bare soil was the most frequented by rattlesnakes to use as microhabitat, N = 31 (48.3%), the floor mulched 28.8% (N = 19), habitat on dead cardon 7.6% (N = 11) and, finally, rocky ground was found to be the least used by snakes, with only 13.8% (N = 3). These differences in the frequency of use between different microhabitats were statistically significant (X2 = 116.21, gl = 3, p < 0.05), but in the dry and rainy seasons, there were differences between the hours of sampling and the use of microhabitats, with X2 = 21.51, gl 8, p < 0.05 during dry season and X2 = 35.17, gl 8, p < 0.05 in the rainy season.

DISCUSSION

Crotalus catalinensis body temperature averaged 25.9 °C, similar to that of other rattlesnakes. For C. lepidus in Arizona, a body temperature of 25.2 °C was reported by McCrystal, Schwalbe & Retes (1996). Also, according to Bryson, Nieto-Montes de Oca & Reyes-Velasco (2008), a temperature of 24.7 °C for C. l. morulus and 26 °C for C. l. maculosus was reported in Mexico; and in C. triseraitus, a body temperature of 26.2 °C was found (Lemos-Espinal et al., 1997) and C. p. pricei of 26.1 °C in Arizona (Prival, Goode, Swann, Schwalbe & Schroff, 2002).

A positive correlation between body temperature and substrate was found in C. catalinensis, and a similar correlation was found by C. lepidus maculosus, C. l. murolus, C. p. pricei, C.p. miquihuanus, and C. t. triseriatus in Northern Mexico (Bryson et al., 2008).

The use of a habitat by a species can vary depending on its body size, color, and sex (Shine, Shine & Shine, 2003). There were no significant differences in body temperature between sexes (Plummer & Mills, 2010; Himes, Hardy, Rudolph & Burddorf, 2006); this is attributed to both male and female snakes which select very similar microhabitats that can provide them with the necessary heat to increase their body temperature (Schwarzkopf & Shine, 1991).

A species can have active thermoregulation, and/or they can thermoconform depending on the circumstances in which they find themselves (Peterson, Gibson & Dorcas, 1993); however, C. catalinensis showed thermo-conformation, because the body temperature was related to the habitat and season of the year, which was evident in the value close to 1.0 in the regression analysis. Using different microhabitats or performing thermoregulatory behaviors avoids the risk of being preyed upon; in this sense, these rattlesnakes’ behavior increase their chance of survival (Stewart, 1984), since the main predators on Santa Catalina Island are raptors like barn owls (Tyto alba), peregrine falcons (Falco peregrino), ravens (Corvus corax) and red-tailed hawks (Buteo jamaicensis) (Arnaud et al., 2008; Grismer, 2002).

Differences in habitat use by C. horridus with different colors may be due to the advantages that each habitat provides them in order to go unnoticed by predators and prey alike (Reinert & Zappalorti, 1988). This does not happen in C. catalinensis, because there were no differences in habitat use by either dark or light color snakes (Arnaud et al., 2008). The dark snakes are more easily adaptable than the light-color ones, this allows them to absorb more heat, which, in turn, accelerates their metabolism, provides them faster digestion of prey, greater strength, better physical conditions and, therefore, greater reproductive success (Morozenko, 2003). However, dark colorings can also be a disadvantage with respect to predatory risks, since they are more easily visible to predators as well as to their preys (Andrén & Nilson, 1981; Capula & Luiselli, 1994).

There was no difference in body temperature with respect to coloration, and this may be due to 1) their crepuscular or nocturnal habit; for that reason, they do not absorb more or less radiation; and 2) the color variation is related to the color of the ground surface for both snakes, whether dark or light, apparently, they both select thermally similar microhabitats, just as C. lepidus (Forstner, Hilsenbeck & Scudday, 1997).

The thermos-conformity presented in C. catalinensis indicates that body temperature follows fluctuation of substrate temperature; therefore, the number of active snakes can depend on thermal variables such as the surrounding temperature and the relative humidity. Positive correlations were observed in C. catalinensis. Reptiles inhabiting arid areas are more sensitive to high temperatures during dry seasons (Huey et al., 2009), which could have an influence. In dry season, fewer individuals were found. During rainy season more snakes were recorded, which coincides with reports by Avila-Villegas, Venegas-Barrera & Arnaud (2004). For other species such as C. atrox, C. molossus, and C. tigris, more activity was observed during (July-October) in Arizona (Beck, 1995); C. adamanteus showed a higher activity from September to November in Florida (Timmerman, 1995); C. michelli proved to be more active from June to September; and C. cerastes was more active from May to October in California (Moore, 1987).

Crotalus catalinensis indiscriminate the use of different types of microhabitats available, using soil without vegetation cover more frequently during the night or when solar radiation is absent, and the soil is losing heat; this is quite possible because it is more visible to predators. The presence of snakes in shrubbery cover corresponded to 1) maintaining a constant body temperature (Huey, Niewiarowski, Kaufmann & Herron, 1989), it is different in soil without vegetation cover, where temperature variations are greater (Miller & Mushinsky, 1990; Reinert & Zappalorti, 1988), and 2) vegetation helps snakes to avoid predators (Gibson, Smucny & Kollar, 1989).

The choice of microhabitat favors the efficiency of their vital processes such as survival, to seek refuge during periods of high vulnerability (King & Turmo, 1997) or to maintain optimal temperature during warm days (Huey et al., 1989), reducing body temperature while feeding (Nelson & Gregory, 2000).

There are other factors not studied yet, which are probably associated with the use of micro-habitats of snakes such as the presence of chemical traces of prey or its congeners. It is necessary to conduct experiments using thermal gradients, both laboratory and field, to test more clearly how environmental temperature influences the choice of a microhabitat rattlesnake and to explore the effect of the availability of shelters and their influence on the body temperature and microhabitat choice.

CONCLUSIONS

Crotalus catalinensis exhibited, like other rattlesnakes, thermoconformist behavior, its body temperature correlating with soil temperature; however, the question about whether other rattlesnakes’ pattern of activity is also influenced by relative humidity as it did with C. catalinensis (which is an island species) arises. The Santa Catalina rattlesnake showed a range of body temperature between 13.6 °C - 38.2 °C (X = 25.9 °C, N = 65), the substrate temperature associated with snakes was 14.8 °C to 37.9 °C, while air temperature ranges from 16.4 °C to 36.2 °C. The relationship between body temperature and substrate had the highest correlation (r = 0.97). In Santa Catalina Island the open ground habitat without vegetation was frequented mostly by rattlesnakes exhibiting nocturnal habits.

ACKNOWLEDGMENTS

The authors appreciate the help of Israel Guerrero and Abelino Cota (Animal Ecology Laboratory at Centro de Investigaciones Biológicas del Noroeste) during fieldwork, and Joaquin Roberto de la Campa for translating this manuscript from Spanish to English. We also thank Michael V. Cordoba Matson, a native English-speaking editor for editing the manuscript.

REFERENCIAS

Beaman, K. R., & Wong, N. (2001). Crotalus catalinensis. Catalogue of American Amphibians and Reptiles, 733,1-4.

Capula, M., & Luiselli, L. (1994). Reproductive Strategies in Alpine Adders, Vipera berus-the black females bear more often. Acta Oecologica-International Journal of Ecology, 15, 207-214.

Eckert, R. (1990). Fisiología animal. Mecanismos y adaptaciones. 3ª edición. España: Ed. Interamericana Mc Graw Hill.

Lemos-Espinal, J. A., Smith, G. R., & Ballinger, R. E. (1997). Observations on the body temperatures and natural history of some mexican reptiles. Bulletin Maryland Herpetological Society, 33,159-164.

Morozenko, N. V. (2003). Ecology and morphology structure and phenetic analysis of population of the grass snake (Natrix natrix) from Lower Volga region. Synopsys of the dissertation. Ph.D. in Biological Sciences. Saratov: 18p.

Peterson, C. R., Gibson, A. R., & Dorcas, M. E. (1993). Snake thermal ecology: the causes and consequences of body-temperature variation. In: R. A , Seigel. & J. T. Collins. (Eds.). Snakes: Ecology and Behavior Biology. (Pp. 241-314). New York: McGraw-Hill.

Schaefer, W. H. (1934). Diagnosis of sex in snakes. Copeia, 4, 181.

Sokal, R. R., & Rohlf, F. J. (1995). Biometry: The Principles and Practice of Statistics in Biological Research. 3rd ed. Freeman & Co, New York. USA.