Recibido: 22 de enero del 2017
Aceptado: 24 de abril del 2018
Publicado: 06 de febrero del 2019
Cómo citar:

Romero-Félix, C. S., López-Castañeda, C., Kohashi-Shibata, J., Martínez-Rueda, C. G., Miranda-Colín, S., Aguilar-Rincón, V. H. (2018). Ambiente y genotipo: Efectos en el rendimiento y sus componentes, y fenología en frijol común. Acta Universitaria, 28(6), 20-32. doi: 10.15174/au.2018.1760

doi:10.15174/au.2018.1760 ǀ ISSN online 2007 - 9621
Ambiente y genotipo: Efectos en el rendimiento y sus componentes, y fenología en frijol común
Environment and genotype: Effects on yield and its components, and phenology in common beans

Celia Selene Romero-Félix*, Cándido López-Castañeda*º, Josué Kohashi-Shibata*, Carlos Gustavo Martínez-Rueda**, Salvador Miranda-Colín*, Víctor Heber Aguilar-Rincón*

* Colegio de Postgraduados, km. 36.5 Carretera México-Texcoco, Montecillo, Texcoco, Estado de México. C.P. 56230. Teléfono: (595) 9520200. Correo electrónico: clc@colpos.mx
** Facultad de Ciencias Agrícolas, Universidad Autónoma del Estado de México.
° Autor de correspondencia.
Palabras Clave:
Phaseolus vulgaris L; biomasa aérea; estabilidad del rendimiento; interacción ambiente x genotipo.
Keywords:
Phaseolus vulgaris L; aerial biomass; environment x genotype interaction; yield stability.

RESUMEN

Se estudió el efecto del ciclo de cultivo y contenido de humedad edáfica en el genotipo y su interacción, en rendimiento de semilla (RS), sus componentes y fenología en primavera-verano 2013 (PV2013) y verano-otoño 2014 (VO2014) con riego (R) y secano (S) en Montecillo, Texcoco, México. Se utilizaron 12 genotipos en un diseño de bloques completos con tres repeticiones en R y S, parcelas de cuatro surcos de largo-ancho 5 m × 0.8 m y fertilización 80-40-00. El RS, biomasa aérea, vainas m-2, semillas m-2, peso de 100 semillas y semillas por vaina y altura de planta fueron 65%, 49%, 50%, 63%, 10% y 17%, 35 cm mayores en PV2013 que en VO2014, y en R fueron 17, 16%, 19%, 19%, 6% y 4%, y 7 cm mayores que en S, mientras el inicio de floración, antesis y madurez fisiológica ocurrieron 5 d, 6 d y 7 d antes en PV2013 que en VO2014, y en S, 2 d, 2 d y 4 d antes que en R, respectivamente. La interacción ambiente × genotipo mostró que el ciclo tuvo mayor efecto en el genotipo que déficit hídrico edáfico.

ABSTRACT

The effect of seasonal crop cycle and soil water content on the genotype and its interaction, in seed yield (SY) and its components, and phenology was determined in the spring-summer cycle 2013 (SS13) and summer-fall cycle 2014 (SF14) under irrigation (I) and rainfed (RF) conditions at Montecillo, Texcoco, Mexico. Twelve genotypes were grown in a complete block design with three replicates in I and RF; plots consisted of four furrows 0.8 m × 5 m. A fertilizer rate of 80-40-00 was used. SY, aerial biomass, pods m-2, seeds m-2, weight of 100 seeds, seeds per pod and plant height in SS13 and I were 65%, 49%, 50%, 63%, 10% y 17%, and 35 cm higher than in SF14 and 17%, 16%, 19%, 19%, 6% and 4 %, and 7 cm greater than in RF, whereas the beginning of flowering, anthesis and physiological maturity in SS13 and I occurred 5 d, 6 d and 7 d and 2 d, 2d and 4 d earlier than in SF14 and RF, respectively. The environment × genotype interaction showed seasonal crop cycle had a greater effect on the genotype than soil water deficit.

INTRODUCCIÓN

En México el frijol (Phaseolus vulgaris, L.) es uno de los cultivos con mayor superficie sembrada, principalmente en secano; por lo que sus rendimientos son bajos: 670 kg ha-1 en contraste con 1560 kg ha-1 bajo riego (Secretaría de Agricultura, Ganadería, Desarrollo Rural, Pesca y Alimentación [Sagarpa], 2014). La disminución del rendimiento en condiciones de secano se debe principalmente a la sequía (López-Salinas et al., 2011; Rosales et al., 2012), y tiene efecto mayor cuando el déficit de la precipitación pluvial coincide con la fase reproductiva del cultivo, en la que la demanda de fotoasimilados por las estructuras reproductivas es alta (Acosta-Díaz, Trejo-López, Ruiz-Posadas, Padilla-Ramírez & Acosta-Gallegos, 2004; Manjeru, Madanzi, Makeredza, Nciizah & Sithole, 2007).

La sequía se presenta acompañada de calor y reduce drásticamente el rendimiento del cultivo, sin embargo, las temperaturas altas en frijol más estrés hídrico pueden disminuir el rendimiento de semilla, biomasa aérea, número de vainas normales m-2 y peso de 100 semillas en 12%, 11%, 10% y 3% por cada °C (-1 °C) de aumento en la temperatura de la planta (Barrios-Gómez, López-Castañeda & Kohashi-Shibata, 2011). Las temperaturas altas del aire también tienen un efecto fuerte en el desarrollo fenológico del frijol; la temperatura mínima alta durante la noche tiene una función mayor en la fenología del frijol, al reducir el número de días a inicio de floración, floración y madurez fisiológica, y la duración del intervalo entre la floración y la madurez fisiológica (Morales-Rivera, López-Castañeda, Kohashi-Shibata, Miranda-Colín & García-Esteva, 2015).

La sequía mediante diversos fenómenos fisiológicos disminuye el valor de algunos componentes del rendimiento, por ejemplo, a través de la abscisión de vainas jóvenes (generalmente <3 cm), la formación de vainas vanas y el aborto de semilla. Aunada a otras condiciones ambientales extremas origina un estrés en la planta, el cual se refleja en los procesos fisiológicos, y estos a su vez en la morfología y el rendimiento. Dicho rendimiento puede desglosarse en sus componentes, cuyo análisis permite saber, en una situación dada, cuáles de ellos limitan en mayor grado el rendimiento, para ser utilizados en el mejoramiento genético (Kohashi-Shibata, 1996).

La información sobre el rendimiento de semilla y sus componentes y la fenología de las plantas de frijol común en México, en diferentes años y ciclos de cultivo es muy limitada, por lo cual, el objetivo de este estudio fue comparar en un mismo ambiente (clima y humedad del suelo) en dos años y ciclos diferentes (primavera-verano 2013 y verano-otoño 2014) el rendimiento y sus componentes, así como la fenología en genotipos de dos grupos de frijol. Dichos genotipos son las variedades tipo 'Flor de Mayo' (FM) y Michoacán 128, incluidos en otras investigaciones (Barrios-Gómez et al., 2010; 2011) y, además, genotipos de las variedades Negro Veracruz, Negro Cotaxtla 91 y Criollo San Andrés (Morales-Rivera et al., 2015).

MATERIALES Y MÉTODOS

Sitio experimental

En el ciclo primavera-verano 2013 (PV2013) y verano-otoño 2014 (VO2014) se establecieron experimentos en campo en el mismo lote experimental en ambos años, en el Colegio de Postgraduados, Montecillo, Texcoco, Estado de México (19° 21'N, 98°55'O y 2250 m s.n.m.). El clima de la región es templado subhúmedo del tipo Cb (wo) (w) (i')g con lluvias en verano, temperatura de 15.2 °C y precipitación media anual de 637 mm (García, 1987). El suelo en el área experimental tiene textura arcillosa, capacidad de campo (CC) 50.3%, porcentaje de marchitamiento permanente (PMP) 38.5%, pH 8.2, materia orgánica 2.1% (Walkey-Black), conductividad eléctrica 0.50 dSm-1 (método del puente de conductividad eléctrica), 0.2% N (MicroKjeldhal), 9.5 mg kg-1 P2O5 (Olsen) y 1,7 cmol kg-1 K (Olsen), en promedio de los estratos de suelo de 0 cm - 20 cm, 20 cm - 40 cm, 40 cm - 60 cm y 60 cm - 80 cm.

Material genético

Los dos experimentos incluyeron ocho variedades comerciales de frijol del tipo 'Flor de Mayo', dos variedades con semilla de color negro (Negro Cotaxtla 91 y Negro Veracruz) y dos variedades criollas: Michoacán 128 (con características similares a las variedades del tipo 'Flor de Mayo') y Criollo San Andrés (con semilla de color negro). Todos los materiales con hábito de crecimiento III (tabla 1).


Tabla 1 Material genético utilizado en los experimentos de campo
Variedad Año de liberación o colecta Días a floración Rendimiento de semilla (g m-2)
FM Anita% 2002 44-62 301§
FM Corregidora% 2000 56 210§
FM 2000% 2001 45-50 210§
Negro Veracruz# 2012 37 116¥
Criollo San Andrés& 2012 36 113¥
Negro Cotaxtla 91# 2012 37 110¥
FM M38% 1994 50-57 97¥
Michoacán 128 1974 47-53 95¥
FM Sol% 1996 45-51 87¥
FM Bajío% 1989 45-47 83¥
FM Noura% 2006 47-50 76¥
FM RMC% 1981 44-55 75¥

%Variedades mejoradas de frijol, Instituto Nacional de Investigaciones Forestales, Agrícolas y Pecuarias (INIFAP) (Rosales-Serna et al., 2004) para áreas de temporal y humedad favorable en el Altiplano Mexicano (tipo 'Flor de Mayo') y el #Estado de Veracruz; €Material criollo del estado de Michoacán proporcionado por el Dr. Salvador Miranda Colín, Profesor Investigador, Postgrado en Recursos Genéticos y Productividad-Genética, Colegio de Postgraduados; &Variedad criolla procedente del sur de Veracruz, colectada por el Ing. Aurelio Morales Rivera. ¥Rendimiento de semilla en condiciones de secano, en Rodríguez Clara, Veracruz (Morales-Rivera et al., 2015), §Rendimiento de semilla en promedio de riego y temporal en Montecillo, Texcoco, Estado de México (Barrios-Gómez et al., 2010).Fuente: Elaboración propia. Descargar Tabla

Diseño experimental y manejo del cultivo

En cada año y ciclo las variedades se dispusieron bajo un diseño de bloques completos al azar con tres repeticiones en riego (R) y tres en secano (S). La unidad experimental consistió de cuatro surcos de 5 m de longitud y 0.8 m de separación. La siembra se realizó el 24 de abril (ciclo PV2013) y el 11 de junio de 2014 (ciclo VO2014). Se utilizó una dosis de fertilización de 80-40-00, con urea como fuente de nitrógeno y superfosfato de calcio triple como fuente de fósforo, aplicando la mitad del nitrógeno y todo el fósforo al momento de la siembra y la segunda mitad de nitrógeno a los 50 días después de la siembra (dds) en el ciclo PV2013 y a los 49 dds en VO2014. La densidad de población aproximada fue de 14.8 plantas m-2 en ambos experimentos. Se realizaron labores de cultivo a los 40 dds y 50 dds en PV2013 y a los 37 dds y 49 dds en VO2014, respectivamente. Las parcelas se regaron en el ciclo PV2013 a los dos dds y ocho dds; después, se regó cada semana en cuatro ocasiones sólo en R, al dejar ambos tratamientos de humedad edáfica a merced de la precipitación hasta la madurez fisiológica; en el ciclo VO2014 se regó dos dds en R y S y después a los 25 dds, 33 dds, 44 dds y 60 dds solo en R, posteriormente ambos tratamientos de humedad edáfica quedaron a merced de la lluvia hasta la madurez fisiológica. El control de malezas y plagas se realizó con la aplicación de productos químicos comerciales. No se presentaron enfermedades foliares durante el ciclo de cultivo.

Datos meteorológicos

Los datos de temperatura (°C) máxima y mínima del aire, y precipitación pluvial (mm) en PV2013 se obtuvieron de la estación meteorológica de la Universidad Autónoma Chapingo, Chapingo, México, aproximadamente a 4 km del sitio de estudio; en el experimento de VO2014 los datos de temperatura máxima y mínima se registraron diariamente en el sitio de estudio, con un termómetro de máxima y mínima de columna de mercurio marca Taylor, y un pluviómetro portátil diseñado en el Colegio de Postgraduados.

Contenido de humedad edáfica

El contenido de humedad aprovechable en diferentes estratos del suelo (0 cm - 20 cm, 20 cm - 40 cm, 40 cm - 60 cm y de 60 cm - 80 cm) se determinó cada semana, mediante el método gravimétrico [% HA = ((Peso del suelo húmedo - Peso del suelo seco) / Peso del suelo seco) 100] en PV2013 y VO2014.

Variables medidas

Las variables medidas desde la fecha de siembra fueron: días a inicio de floración (IF) cuando el 50% de las plantas en cada unidad experimental presentaron al menos una flor abierta; días a floración (F) o antesis (A) cuando el 50% de las plantas de cada unidad experimental presentaron flores abiertas; días a madurez fisiológica (MF) se registró cuando el 90% de las vainas de las plantas perdieron su pigmentación verde (Acosta-Díaz, Acosta-Gallegos, Trejo-López, Padilla-Ramírez & Amador-Ramírez, 2009). En las plantas en madurez fisiológica se midió la altura de planta desde la superficie del suelo al ápice, en cinco plantas tomadas al azar en los dos surcos centrales de cada unidad experimental.

Las plantas en competencia completa, en los dos surcos centrales, se cosecharon después de eliminar 50 cm de los extremos para determinar la biomasa aérea que comprende la biomasa aérea a la cosecha, el pericarpio y la semilla en el ciclo PV2013. En el ciclo VO2014, además se incluyeron los órganos vegetativos y reproductivos que sufrieron abscisión, número de vainas normales m-2, rendimiento de semilla, semillas normales m-2, semillas normales por vaina y peso de 100 semillas.

Análisis estadístico

El análisis de varianza se realizó para los datos de PV2013 y VO2014 en forma individual y combinada, utilizando el programa Statistical Analysis System (SAS, 2012) versión 9.4 para Windows. El modelo en serie de experimentos fue: Yijkl = µ + Ci + Ej + Vk + CEij + CVik + EVjk + CEVijk + Eijkl, para el análisis combinado que incluyó los ciclos de cultivo (C, PV2013 y VO2014), niveles de humedad del suelo (E, riego y secano), variedades (V), y las interacciones CE, CV, EV y CEV como fuentes de variación. Las medias se compararon con DMS (p ≤ 0.05).

RESULTADOS Y DISCUSIÓN

Análisis de varianza

Temperatura, precipitación y humedad edáfica

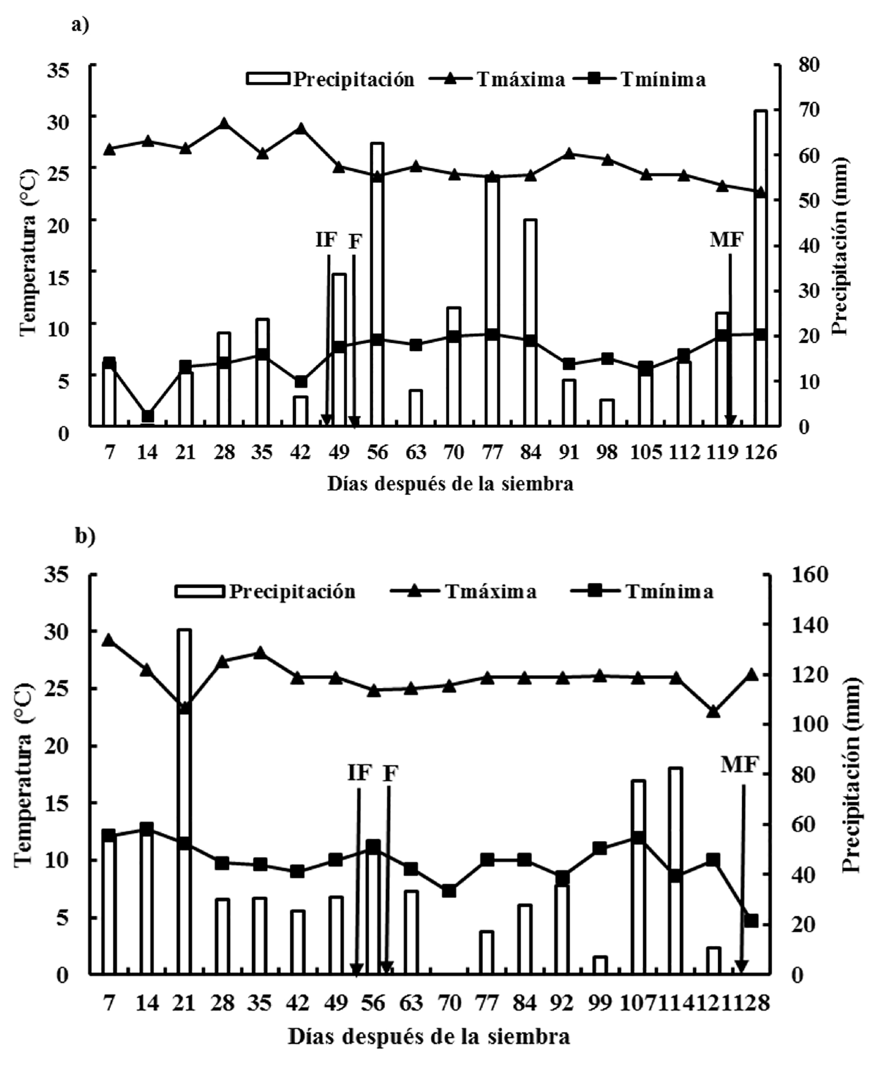
En PV2013 la temperatura máxima alcanzó sus valores más altos al inicio del ciclo de cultivo y disminuyó conforme las plantas se acercaron a la madurez fisiológica; la temperatura mínima fue más baja al inicio del ciclo del cultivo y aumentó a medida que transcurrió el ciclo biológico de las plantas (figura 1a). En VO2014 las temperaturas máximas y mínimas más altas se presentaron al inicio del ciclo y disminuyeron conforme las plantas se aproximaron a la madurez (figura 1b). No obstante, las diferencias en el patrón térmico entre experimentos, la temperatura máxima promedio en PV2013 (26 °C) fue igual que en VO2014 (26 °C), mientras que la temperatura mínima promedio en PV2013 (7 °C) fue menor que en VO2014 (10 °C).


Figura 1 Descargar Imagen

Temperatura promedio semanal máxima y mínima del aire, y precipitación semanal acumulada en el ciclo PV2013 a) y VO2014 b). Montecillo, Texcoco, Edo. de México. IF: inicio de floración; F: floración; MF: madurez fisiológica.
Fuente: Elaboración propia.

La precipitación total registrada en el ciclo PV2013 (448 mm) fue menor que la registrada en VO2014 (712 mm); sin embargo, la distribución de la precipitación fue diferente en cada etapa; en PV2013 el 17% de la precipitación total correspondió a la etapa vegetativa y 83% a la reproductiva, mientras en VO2014 los valores fueron 47% y 53%, respectivamente. Aunque la precipitación en VO2014 fue mayor que en PV2013, la distribución de la precipitación fue más irregular durante la floración y el periodo de formación de la semilla en VO2014 que en PV2013, lo que se tradujo en una disminución más severa en el contenido hídrico del suelo, sobre todo en el periodo de floración y formación de la semilla (figura 1a y 1b).

El contenido de humedad edáfica en R se mantuvo cerca de CC en todos los estratos del suelo en ambos experimentos (datos no mostrados), mientras que en S en PV2013, el contenido de humedad disminuyó, alcanzando el PMP en los estratos de 0 cm - 20 cm y 20 cm - 40 cm a los 18 dds y durante el periodo de floración-madurez fisiológica, desde los 68 dds hasta 98 dds; en los estratos de 40 cm - 60 cm y 60 cm - 80 cm, el contenido de humedad edáfica se mantuvo cercano a CC durante el ciclo de cultivo (figura 2a). En S en VO2014, el contenido de humedad edáfica disminuyó conforme avanzó el ciclo del cultivo en todos los estratos del suelo y mantuvo un nivel inferior al PMP durante el periodo de floración-madurez fisiológica, con una reducción más severa en los estratos de 0 cm - 20 cm, 20 cm - 40 cm y 40 cm - 60 cm que en el estrato de 60 cm - 80 cm (figura 2b). El PMP en los estratos superficiales pudo afectar negativamente el rendimiento y sus componentes debido a que en esas profundidades es donde mayormente se acumulan las raíces en frijol.


Figura 2 Descargar Imagen

Contenido hídrico edáfico en los estratos de 0 cm - 20cm, 20 cm - 40 cm, 40 cm - 60 cm y 60 cm - 80 cm en secano del ciclo PV2013 a) y VO2014 b). Montecillo, Texcoco, Edo. de México. CC: capacidad de campo; PMP: porcentaje de marchitamiento permanente; IF: inicio de floración; F: floración; MF: madurez fisiológica.
Fuente: Elaboración propia.

Efecto del ciclo de cultivo

En el ciclo PV2013 se obtuvo mayor rendimiento de semilla y mayores valores de los componentes del rendimiento y de altura de planta que en VO2014; las etapas fenológicas en PV2013 ocurrieron varios días antes que en VO2014 (tabla 2 y tabla 3). El rendimiento de semilla y sus componentes en todos los genotipos en PV2013 fueron mayores que en el VO2014, a pesar de tener menor precipitación durante el ciclo de crecimiento de las plantas, mantuvo mayor disponibilidad de humedad en el perfil del suelo, condiciones de humedad edáfica que coincidieron con bajas temperaturas mínimas del aire durante el ciclo biológico de las plantas. Las variedades FM 2000, FM RMC, FM M38, FM Sol y Michoacán 128, mostraron mayor rendimiento de semilla que los demás genotipos en PV2013 y solo la variedad FM 2000 mostró un comportamiento sobresaliente en VO2014; el alto rendimiento de las variedades sobresalientes en PV2013 estuvo acompañado de alta biomasa aérea; mayor número de vainas normales m-2 en Michoacán 128; mayor peso de 100 semillas en FM 2000; mayor número de semillas por vaina en FM RMC y FM Sol; mayor altura de planta en FM 2000, FM RMC y FM Sol; mayor número de días al inicio de floración y floración en FM M38 y Michoacán 128; y mayor número de días a madurez fisiológica en FM 2000, FM M38, FM Sol y Michoacán 128, mientras el alto rendimiento de FM 2000 en VO2014 estuvo acompañado de alta biomasa aérea, y vainas y semillas normales m-2, peso de 100 semillas, semillas por vaina y altura de planta y mayor número de días a madurez fisiológica (tabla 3).


Tabla 2 Cuadrados medios del análisis de varianza bajo un modelo estadístico en serie de cuatro experimentos, para el rendimiento de semilla y sus componentes, y fenología. Montecillo, Texcoco, Estado de México. Ciclo primavera-verano 2013 y ciclo verano-otoño 2014 en riego y secano
Fuente de variación gl RS BMA VN M-2 SN M-2 P100S S V AP IF A MF
Ciclos 1 2828283.1** 4723015.6** 1334159.8** 78719186.0** 850.7** 92.0** 43890.2** 1116.7** 1534.0** 1681.0**
Ambientes (riego y temporal) 1 112840.0** 340666.8** 127514.5** 4179435.0** 53.8* 0.89* 1456.7* 119.2** 87.1** 210.3*
Variedades 11 20928.2** 75614.0** 7671.3* 538217.3** 896.1** 1.59** 2070.5** 129.1** 95.7** 194.3**
Ciclos × ambientes 1 11.7Sns 5007.9ns 2610.4ns 13892.6ns 110.3* 0.98** 380.3ns 1.2ns 1.0ns 87.1*
Reps (ciclos × ambientes) 8 7313.2* 20568.1* 5056.1ns 138771.6ns 5.7ns 0.15ns 179.5ns 14.2* 9.8* 49.1*
Ciclos × variedades 11 7706.0* 16927.2* 5823.8ns 224056.5* 53.2** 0.12ns 254.8* 9.9* 10.5* 55.7*
Ambientes × variedades 11 3476.2ns 8335.6ns 2965.9ns 55607.7ns 83.2** 0.05ns 106.3ns 7.6ns 5.4ns 24.5ns
Ciclos × ambientes × variedades 11 4930.5ns 13718.5ns 3602.9ns 104796.9ns 61.8** 0.066ns 125.1ns 7.5ns 4.3ns 5.1ns
Media general 293 561 285 1605 47 5 67.4 51 55 123
CV (%) 18.1 16.4 19.4 19.7 6.6 5.3 16.1 4 4 4

RS = Rendimiento de semilla (g m-2); BMA = biomasa aérea (g m-2); VN M-2 = Vainas normales m-2; SN M-2 = Semillas normales m-2; P100S = Peso de 100 semillas (g); S V = Número de semillas por vaina; AP = Altura de planta (cm); IF = Número de días a inicio de floración; A = Número de días a antesis; MF = Número de días a madurez fisiológica. ** (p ≤ 0.01), *(p ≤ 0.05), ns = No significativo.
Fuente: Elaboración propia. Descargar Tabla

Tabla 3 Efecto del ciclo de cultivo en el rendimiento de semilla, sus componentes y fenología. Montecillo, Texcoco, Estado de México. Ciclo primavera-verano 2013 y ciclo verano-otoño 2014
Variedad RS (g m-2) BMA (g m-2) VN M-2 SN M-2 P100S (g) S V AP (cm) IF F MF
Ciclo primavera-verano 2013
FM 2000 513a 901a 370bcde 2296cde 66a 6bc 101a 44cd 48ef 120abc
FM 2000 513a 901a 370bcde 2296cde 66a 66a 101a 44cd 48ef 120abc
FM RMC 515a 841ab 379abcde 2447bc 56b 7ab 96ab 45c 50de 116cd
FM M38 463ab 832ab 380abcde 2262cde 51bcd 6cde 87bc 50ab 54abc 124a
FM Sol 522a 820abc 358cde 2348bcde 55b 7a 98ab 42d 47f 120abc
Michoacán 128 448abc 785abcd 404abcd 2402bcd 46d 6de 82c 51ab 56a 125a
FM Noura 403bc 713bcde 343de 1975e 54bc 6ef 88bc 52ab 56a 123ab
FM Anita 407bc 656def 362cde 2056cde 53bc 6f 77cd 44cd 48ef 114d
FM Corregidora 410bc 731bcde 334e 1986e 52bc 6de 89abc 49b 52cd 118bcd
FM Bajío 366c 578f 359cde 2017de 49cd 6f 82c 44cd 48ef 114d
Criollo San Andrés 378bc 718bcde 432ab 2881a 34e 7a 65de 53a 56a 118bcd
Negro Cotaxtla 91 390bc 643ef 441a 2720ab 37e 6cd 59e 51ab 55ab 125a
Negro Veracruz 390bc 693cdef 416abc 2745ab 39e 7a 96ab 49b 53bcd 122ab
Media 434 742 382 2344 49 6 85 48 52 119
DMS (p ≤ 0.05)a 83 135 65 402 6 0.2 13 3 3 5
Ciclo verano-otoño 2014
FM 2000 238a 543a 245a 1167a 52ab 5abcd 63ab 52de 56de 130ab
FM RMC 196b 482ab 222ab 1043ab 54a 5bcde 77a 50ef 56de 122def
FM M38 196b 444bc 233ab 1027ab 48bc 4def 51bc 55bc 59bc 131ab
FM Sol 115d 309ef 149c 751bc 48bc 5abc 59b 49f 54f 120f
Michoacán 128 136cd 358def 193abc 844bc 51abc 4ef 36de 57a 61a 125cd
FM Noura 166bc 433bcd 183abc 784bc 51abc 4f 57b 57a 61ab 134a
FM Anita 137cd 307ef 145c 607c 46cd 4f 57b 50ef 56ef 121ef
FM Corregidora 130cd 365def 190abcde 782bcde 48bcd 4f 43cd 55abd 60ab 133a
FM Bajío 162bc 379cde 150c 627c 43d 4f 54bc 53cd 58cd 119f
Criollo San Andrés 139cd 352ef 200abc 1036ab 29e 5a 27e 54bc 59bc 125cde
Negro Cotaxtla 91 114d 296f 176bc 887abc 30e 5ab 26e 56ab 61ab 130ab
Negro Veracruz 110d 294f 180bc 834bc 34e 5cde 51bc 54bc 59bc 127bc
Media 154 380 189 866 44 5 50 53 58 122
DMS (p ≤ 0.05)b 37 77 64 309 5 0.4 14 2 2 4
DMS (p ≤ 0.05)c 33 55 27 143 1 0.1 5 1 1 3

RS: rendimiento de semilla; BMA: biomasa aérea; VN M-2: vainas normales m-2; SN M-2: semillas normales m-2; P100S: peso de 100 semillas; S V: semillas por vaina; AP: altura de planta; IF: inicio de floración; F: floración; MF: madurez fisiológica a,b,cDMS: Diferencia mínima significativa para la comparación de medias entre genotipos en PV2013; comparación entre genotipos en VO2014, y comparación entre ciclos de cultivo, respectivamente. Medias con letra distinta en una columna son estadísticamente diferentes (DMS, p ≤ 0.05).
Fuente: Elaboración propia. Descargar Tabla

Las siembras tardías de frijol reducen significativamente el rendimiento y sus componentes número de vainas planta-1, peso de la semilla, índice de cosecha y acumulación de materia seca, en tanto que las plantas de siembras más tempranas están expuestas a condiciones más favorables de humedad, radiación y temperatura (Getachew, Mohammed, Tesfaye & Nebiyu, 2014; Nwadike & Vange, 2015), lo que se traduce en mayor desarrollo vegetativo y producción de fotoasimilados para un óptimo rendimiento de vainas y semillas (Yoldas & Esiyok, 2007). El menor número de días a floración y madurez fisiológica en PV2013 que en VO2014 podría deberse a la mayor disminución de la precipitación y consiguiente disponibilidad de humedad edáfica hacia el final del ciclo de las plantas, sobre todo en los estratos de suelo de 0 cm - 20 cm y 20 cm - 40 cm, donde se concentra la mayor proporción de raíces en frijol (Haterlein, 1983). El intervalo entre la floración y la madurez fisiológica (I = MF-F) en PV2013 (67 días) y VO2014 (68 días) presentó una diferencia de un día, indicando que el efecto de las temperaturas máxima (26 °C y 26 °C) y mínima (7 °C y 10 °C) en la duración del periodo de formación de la semilla fue similar en los dos ciclos de cultivo: sin embargo, cuando las temperaturas máxima y mínima del aire durante el ciclo del cultivo muestran mayor variación, el intervalo entre el inicio de la floración y la madurez fisiológica (I = MF-IF) puede ser diferente; por ejemplo, las temperaturas máxima y mínima promedio en condiciones de riego en el ciclo primavera-verano en Celaya, Guanajuato, México fueron 28.1 °C y 11.9 °C y en Montecillo, Texcoco, Estado de México fueron 31.7 °C y 5.3 °C, lo que se tradujo en un I de 48 días en Celaya y 58 días en riego y 56 días en secano en Montecillo (Barrios-Gómez et al., 2010).

La variación en rendimiento en promedio de PV2013 estuvo positiva y significativamente relacionada con la variación en rendimiento de semilla en promedio de variedades (V) (PV2013 = 0.67(V) + 1.5, r = 0.91, p ≤ 0.01, figura 3), al igual que el rendimiento en promedio de VO2014 (VO2014 = 0.85(V) + 163.5, r = 0.81, p ≤ 0.01, figura 3); no obstante, que el rendimiento de semilla del ciclo de cultivo se asoció positivamente con el rendimiento de variedades, es evidente que el rendimiento de semilla en VO2014 fue mucho menor que PV2013, y que en ambos casos las variedades del tipo 'Flor de Mayo' tuvieron mayor rendimiento que las variedades de frijol 'Negro', siendo la variedad FM 2000 la que produjo el mayor rendimiento en los dos ciclos de cultivo (figura 3).


Figura 3 Descargar Imagen

Relación entre el rendimiento de semilla en promedio del ciclo PV2013 o VO2014 y el rendimiento de semilla en promedio de variedades, para los cultivares del tipo Flor de Mayo y Negros. Montecillo, Texcoco, Estado de México.
Fuente: Elaboración propia.

Efecto del contenido de humedad edáfica

El contenido de humedad edáfica afectó al rendimiento de semilla y sus componentes; las deficiencias hídricas en S redujeron significativamente el rendimiento de semilla, biomasa aérea, número de vainas normales m-2, número de semillas normales m-2, peso de 100 semillas, semillas por vaina y altura de planta con respecto a R (tabla 2 y tabla 4); el déficit hídrico edáfico también disminuyó el número de días el inicio de floración, floración y madurez fisiológica en PV2013 y VO2014, respectivamente (tabla 4).


Tabla 4 Efecto del contenido de humedad edáfica en el rendimiento de semilla, sus componentes y fenología. Montecillo, Texcoco, Estado de México. Riego y secano
Variedad RS (g m-2) BMA (g m-2) VN M-2 SN M-2 P100S (g) S V AP (cm) IF F MF
Riego
FM 2000 387a 724a 327abc 1850abcde 65a 6cd 91a 50de 54de 128a
FM RMC 393a 731a 343ab 1962abc 56b 6c 88ab 48e 54cde 120d
FM M38 356abc 720ab 344ab 1835abcde 50cd 5de 70cde 54bc 57bc 128a
FM Sol 367ab 624abcd 270bc 1697abcde 52bc 6ab 83abc 45f 51e 121cd
Michoacán 128 357abc 645abc 353a 1884abcd 54bc 5e 62ef 57a 60a 126ab
FM Noura 302bcd 613abcd 316abc 1621bcde 57b 5e 81abcd 55ab 59ab 129a
FM Anita 284cd 497d 262c 1392e 51cd 5e 68cde 48e 53e 119d
FM Corregidora 287cd 593bcd 271bc 1444de 50cd 5e 68de 54abc 56bcd 129a
FM Bajío 283cd 514d 287abc 1498cde 46d 5e 68de 50de 54de 118d
Criollo San Andrés 275d 554cd 335abc 2103a 32e 6a 49fg 54abc 57ab 122bcd
Negro Cotaxtla 91 272d 540cd 335abc 1978ab 33e 6bc 44g 55abc 59ab 130a
Negro Veracruz 294bcd 562cd 336abc 2042ab 36e 6c 76bcde 52cd 56bcd 125abc
Media 321 610 315 1775 48 5.4 71 52 56 125
DMS (p ≤ 0.05)a 76 130 79 477 5 0.3 14 3 3 5
Secano
FM 2000 363a 720a 289ab 1612ab 53ab 5ab 73ab 46c 50de 122bc
FM RMC 317ab 592b 259abcd 1527bc 54a 6a 84a 47c 52d 118cd
FM M38 301bc 556bc 269abc 1455bc 49bcd 5bcd 69bc 51ab 56bc 125ab
FM Sol 270bcd 503bcde 236bcd 1401bcd 51abc 6a 73ab 45c 50e 119cd
Michoacán 128 227de 497bcde 243bcd 1362bcd 43e 5bc 5bc 52ab 57abc 123abc
FM Noura 267bcd 533bcd 210d 1137d 48cd 5de 64bc 54a 58a 128a
FM Anita 260bcde 466cdef 245abcd 1272cd 49bcd 5cde 66bc 46c 51de 115d
FM Corregidora 254cde 503bcde 252abcd 1324cd 50abcd 5cde 64bc 51b 55c 122abc
FM Bajío 246cde 442def 223cd 1147d 45de 5e 68bc 47c 52de 115d
Criollo San Andrés 243cde 516bcde 297a 1815a 31g 6a 43d 53a 57ab 120bcd
Negro Cotaxtla 91 231de 398f 282ab 1629ab 33fg 6a 42d 53ab 57abc 125ab
Negro Veracruz 206e 424ef 260abcd 1536bc 37f 6a 71b 52ab 56bc 123abc
Media 265 513 255 1435 45 5.2 64 50 54 121
DMS (p ≤ 0.05)b 60 97 53 272 5 0.3 13 3 2 6
DMS (p ≤ 0.05)c 33 55 27 143 1 0.1 5 1 1 3

RS: rendimiento de semilla; BMA: biomasa aérea; VN M-2: vainas normales m-2; SN M-2: semillas normales m-2; P100S: peso de 100 semillas; S V: semillas por vaina; AP: altura de planta; IF: inicio de floración; F: floración; MF: madurez fisiológica a,b,cDMS: Diferencia mínima significativa para la comparación de medias entre genotipos en R; comparación entre genotipos en S, y comparación entre tratamientos de humedad edáfica, respectivamente. Medias con letra distinta en una columna son estadísticamente diferentes (DMS, p ≤ 0.05).
Fuente: Elaboración propia. Descargar Tabla

Las variedades FM 2000, FM RMC, FM M38, FM Sol y Michoacán 128 exhibieron el más alto rendimiento de semilla en R y solo las variedades FM 2000 y FM M38 mostraron alto rendimiento de semilla en S; el alto rendimiento de las variedades sobresalientes en R estuvo acompañado de alta biomasa aérea, vainas y semillas normales m-2; alto peso de 100 semillas en FM 2000; mayor número de semillas por vaina en FM Sol; mayor altura de planta en FM 2000, FM RMC y FM Sol; mayor número de días al inicio de floración y floración en Michoacán 128; y mayor número de días a madurez fisiológica en FM 2000; FM M38 y Michoacán 128, mientras en S el alto rendimiento de semilla de las variedades sobresalientes estuvo acompañado de alta biomasa aérea en FM 2000; alto número de vainas normales m-2 en FM 2000 y FM RMC; alto número de semillas normales m-2 en FM 2000; y mayor peso de 100 semillas, número de semillas por vaina y altura de planta en FM 2000 y FM RMC (tabla 4).

La reducción en el rendimiento y sus componentes en secano con respecto a riego, se debió a la severa disminución en la disponibilidad de humedad en los estratos de suelo más cercanos a la superficie (0 cm - 20 cm y 20 cm - 40 cm) durante el periodo de formación de la semilla, periodo considerado como el más sensitivo al déficit hídrico (Rainey & Griffiths, 2005). Otros estudios en frijol común en condiciones de riego y sequía, mostraron que las deficiencias hídricas durante el periodo de floración disminuyeron 28% y 25%, el rendimiento de semilla y la biomasa área en un grupo de variedades de frijol del tipo Flor de Mayo (Barrios-Gómez et al., 2010) y que la sequía al inicio de la floración en diferentes variedades de frijol común con hábitos de crecimiento y respuesta diferencial al estrés hídrico, disminuyó 51% y 41% la biomasa aérea y el rendimiento de semilla con respecto a R, las plantas presentaron una tendencia a escapar al efecto de la sequía al reducir su periodo de llenado de grano (Acosta-Díaz et al., 2009). El acortamiento en el número de días a floración y madurez fisiológica también se ha observado en otros estudios; la sequía al inicio de la floración acortó la fase reproductiva en dos localidades de prueba, debido a la presencia de temperaturas más altas durante el periodo de formación de la semilla (Acosta-Díaz, Kohashi-Shibata & Acosta-Gallegos, 1997); las diferencias fenológicas entre distintos ambientes de cultivo están determinadas por el régimen de temperaturas máxima y mínima del aire, siendo la temperatura mínima durante la noche la que tiene un efecto mayor en el desarrollo fenológico del frijol, al reducir la duración de las etapas de desarrollo (Morales-Rivera et al., 2015).

El déficit hídrico edáfico fue sin duda el principal factor limitante del crecimiento, desarrollo y rendimiento del frijol; la variación en intensidad y severidad de la sequía de año en año y localidad en localidad, requiere el uso de variedades con diferente nivel de tolerancia en diferentes regiones; la evaluación de distintos genotipos en diferentes ambientes permite la identificación de los genotipos apropiados para áreas expuestas a niveles similares de estrés hídrico; en condiciones de secano con frecuencia la sequía es variable y en estos casos, la selección debe enfocarse a genotipos que tengan un buen comportamiento en rendimiento en todas las situaciones con estrés hídrico (Raman et al., 2012).

La variación en rendimiento en promedio de R se relacionó positiva y significativa con la variación en rendimiento en promedio de variedades (V) (R = 0.84 (V) + 25, r = 0.93, p ≤ 0.01, figura 4), y la variación en rendimiento en promedio de S se asoció positiva y significativa con la variación en rendimiento en promedio de variedades (S = 0.88 (V) + 59, r = 0.92, p ≤ 0.01, figura 4). Se observó que el rendimiento en S con déficit hídrico durante la formación de la semilla fue menor que en R; sin embargo, las variedades del tipo Flor de Mayo produjeron mayor rendimiento de semilla que las variedades de color negro en R y S, siendo las variedades del tipo Flor de Mayo FM 2000 y FM RMC las que exhibieron el más alto rendimiento de semilla tanto en R como en S (figura 4).


Figura 4 Descargar Imagen

Relación entre el rendimiento de semilla en promedio de riego o secano y el rendimiento de semilla en promedio de variedades, para los cultivares del tipo Flor de Mayo y Negros. Montecillo, Texcoco, Edo. de México.
Fuente: Elaboración propia.

Efecto del genotipo

La comparación del rendimiento de semilla y sus componentes entre las variedades en promedio de ciclos de cultivo (PV2013 y VO2014) y contenido de humedad del suelo (R y S), mostró que las variedades FM 2000 y FM RMC exhibieron mayor rendimiento de semilla que las otras variedades, y que el alto rendimiento en estas variedades estuvo acompañado de alta biomasa aérea. Adicionalmente estas variedades mostraron mayor número de vainas y semillas normales m-2, y mayor peso de 100 semillas en FM 2000, altura de planta en FM RMC y número de días a madurez fisiológica en FM 2000 (tabla 2 y tabla 5). Las variedades de frijol del tipo 'Flor de Mayo' con un mejor comportamiento del rendimiento y sus componentes biomasa aérea, vainas normales m-2, semillas normales m-2, semillas por vaina y peso de 100 semillas en condiciones de estrés hídrico en floración y en el periodo de formación de la semilla en Montecillo, Texcoco, México, fueron FM Noura y FM Anita, y FM M38 (excepto, para semillas por vaina) (Barrios-Gómez et al., 2010). El comportamiento diferencial del genotipo ha sido observado también en condiciones de humedad residual con sequía terminal y acidez del suelo en el sur de Veracruz, donde las variedades Negro Veracruz, Criollo San Andrés y Negro Cotaxtla 91 tuvieron mayor rendimiento de semilla, biomasa área y altura de planta; 'Flor de Junio' Marcela mostró alto rendimiento de semilla, biomasa aérea y vainas normales m-2, y Criollo San Andrés el más alto índice de cosecha entre todas variedades incluidas en el estudio (Morales-Rivera et al., 2015).


Tabla 5 Efecto del genotipo en el rendimiento, sus componentes y fenología de frijol. Montecillo, Texcoco, Estado de México. Ciclo primavera-verano 2013 y verano-otoño 2014 en riego y secano. Promedio de Años
Variedad RS (g m-2) BMA (g m-2) VN M-2 SN M-2 P100S (g) S V AP (cm) IF F MF
Riego
FM 2000 375a 722a 308ab 1731ab 59a 5c 82ab 48d 52de 125ab
FM RMC 355ab 661ab 301abc 1745ab 55b 6bc 86a 48d 53d 119de
FM M38 329bc 638bc 306ab 1645b 50de 5d 69d 52bc 56bc 127ab
FM Sol 319bcd 564cde 253d 1549bcd 52cd 6ab 78abc 45e 45e 120de
Michoacán 128 292cde 571cd 298abcd 1623bc 48e 5d 59e 54a 59a 125b
FM Noura 285de 573cd 263bcd 1379cd 52bc 5e 72cd 54a 58a 128a
FM Anita 272e 481fg 253d 1332d 50de 5e 67de 47d 52de 117e
FM Corregidora 270e 548def 261cd 1384cd 50cde 5de 66de 52bc 56c 125ab
FM Bajío 264e 478fg 255d 1322d 46f 5e 68de 48d 53d 117e
Criollo San Andrés 259e 535defg 316a 1959a 32h 6a 46f 54ab 57ab 121cd
Negro Cotaxtla 91 252e 469g 309a 1803ab 33h 6bc 43f 54ab 58ab 127ab
Negro Veracruz 250e 493efg 298abcd 1789ab 36g 6bc 73bcd 52c 56c 124bc
Media 293 561 285 1605 47 5 67 51 55 123
DMS (p ≤ 0.05)a 43 75 45 256 3 0.2 9 2 2 3

RS: rendimiento de semilla; BMA: biomasa aérea; VN M-2: vainas normales m-2; SN M-2: semillas normales m-2; P100S: peso de 100 semillas; S V: semillas por vaina; AP: altura de planta; IF: inicio de floración; F: floración; MF: madurez fisiológica. aDMS = Diferencia mínima significativa para la comparación de medias entre genotipos. Medias con letra distinta en una columna son estadísticamente diferentes (DMS, p ≤ 0.05).
Fuente: Elaboración propia. Descargar Tabla

Efecto de la interacción ambiente x genotipo

El ambiente representado por el ciclo del cultivo y año (PV2013 y VO2014) (tabla 3), y el contenido de humedad edáfica (R y S) (tabla 4), y el genotipo representado por las diferentes variedades (tabla 5) fueron los factores con mayor influencia en el rendimiento de semilla y sus componentes, y la fenología de la planta. No obstante, se observó que la interacción entre el genotipo y el ambiente en sus diferentes modalidades tuvo efectos significativos en el rendimiento y algunos de sus componentes, siendo las interacciones ciclo de cultivo × variedad (tabla 3) y contenido de humedad del suelo × variedad (tabla 4), las más significativas.

En el comportamiento de los genotipos en forma individual dentro de los ciclos de cultivo (interacción ciclo de cultivo × variedad), se determinó que las variedades FM 2000, FM RMC, FM M38, FM Sol y Michoacán 128, produjeron mayor rendimiento de semilla que las demás variedades en PV2013 y únicamente FM 2000, tuvo mayor rendimiento de semilla que las otras variedades en VO2014; las variedades FM 2000, FM RMC, FM M38, FM Sol y Michoacán 128, además de alto rendimiento también tuvieron alta biomasa aérea, peso de 100 semillas y mayor número de días a madurez fisiológica, mientras la variedad FM 2000, además de alto rendimiento tuvo alta biomasa aérea, número de vainas y semillas normales m-2, peso de 100 semillas, semillas por vaina, altura de planta y mayor número de días a madurez fisiológica (tabla 3). El cultivar FM 2000 exhibió el más alto rendimiento de semilla y mayor estabilidad del rendimiento entre todos los genotipos incluidos en el presente estudio; la estabilidad del rendimiento es una de las características más deseables en el mejoramiento del rendimiento en ambientes con diferencias en régimen térmico, distribución de la lluvia y tipos de suelo, al considerar que la estabilidad en el comportamiento o la aptitud para mostrar un mínimo de interacción con el ambiente es una característica genética útil en la evaluación preliminar, para identificar genotipos estables que pueden ser de gran ayuda en la selección de cultivares superiores (Eberhart & Russell, 1966). No obstante, siendo la búsqueda de genes de tolerancia a sequía el principal objetivo de la selección para ambientes con estrés abiótico, hay que considerar la utilidad de aquellos genotipos con buen comportamiento agronómico en condiciones favorables de humedad; las variedades FM RMC, FM M38, FM Sol y Michoacán 128 tuvieron alto rendimiento y biomasa aérea en PV2013, y pueden ser genotipos deseables para ambientes con menor intensidad y severidad del estrés hídrico; al respecto, en otro estudio, se observó que al menos 20% de las líneas (F3:5) derivadas de una cruza triple de frijol común y seleccionadas bajo sequía en el Centro Internacional de Agricultura Tropical (CIAT), Colombia, tuvieron efectos genéticos positivos en el rendimiento de semilla bajo condiciones de riego en Melkassa, Etiopía (Assefa et al., 2015).

En la interacción del contenido de humedad edáfica × variedad se determinó que las variedades FM 2000, FM RMC, FM M38, FM Sol y Michoacán 128 tuvieron mayor rendimiento de semilla que las demás variedades en R y solo la variedad FM 2000 tuvo mayor rendimiento de semilla que las otras variedades en S en promedio de PV2013 y VO2014. El alto rendimiento de semilla de las variedades FM 2000, FM RMC, FM M38, FM Sol y Michoacán 128 en R estuvo acompañado de alta biomasa aérea y número de vainas y semillas normales m-2, mientras el alto rendimiento de semilla de la variedad FM 2000 en S estuvo acompañado de alta biomasa aérea, número de vainas normales m-2 y peso de 100 semillas (tabla 4). Sin duda, la interacción genotipo × ambiente es importante en el desarrollo de variedades mejoradas y está presente comúnmente, al utilizar líneas puras, híbridos de cruza simple o doble, cruzas élite, líneas S1 o cualquier otro material genético (Eberhart & Russell, 1966); cuando la interacción genotipo × ambiente es alta, reduce el avance genético en la selección (Comstock & Moll, 1963).

El efecto conjunto del ciclo de cultivo y el contenido de humedad del suelo (interacción ciclo de cultivo × contenido de humedad del suelo), solo afectó de forma significativa al número de semillas por vaina, peso de 100 semillas y días a madurez fisiológica (datos no mostrados); el número de semillas por vaina en R fue similar a S en PV2013 y mayor que en R y S en VO2014; el peso de 100 semillas en R en PV2013 fue mayor que en S en PV2013 y R y S en VO2014; y el número de días a madurez fisiológica en R en PV2013 fue un día mayor que en S en PV2013, y ocho y cuatro días menor que en R y S en VO2014.

La interacción ciclo de cultivo x contenido de humedad del suelo × variedad fue significativa, únicamente para el peso de 100 semillas; la variedad FM 2000 tuvo mayor peso de 100 semillas que las demás variedades en R y S en PV2013, y R y S en VO2014 (datos no mostrados).

Relación entre el rendimiento de semilla, sus componentes y fenología

El análisis del coeficiente de correlación entre el rendimiento de semilla y sus componentes en promedio de todas las variedades del tipo 'Flor de Mayo' y frijol de color negro, en PV2013 y VO2014, y R y S mostró una relación positiva y significativa con la biomasa aérea, peso de 100 semillas y altura de planta; el componente biomasa aérea a su vez, estuvo relacionado positiva y significativamente con el peso de 100 semillas y altura de planta; por el contrario la altura de planta se relacionó negativa y significativamente con el número de días a inicio de floración y días a floración (tabla 6).


Tabla 6 Coeficientes de correlación entre el rendimiento de semilla y sus componentes, y la fenología en las variedades de frijol del tipo ‘Flor de Mayo’ y frijol negro, en promedio de PV2013 y VO2014, y riego y secano. Montecillo, Texcoco, Estado de México
Característica de la planta RS (g m-2) BMA (g m-2) VNM-2 SNM-2 P100S (g) S V AP (cm) IF (Días) F (Días) MF (Días)
RS (g m-2) - 0.94** 0.21ns 0.12ns 0.79** -0.14ns 0.70** -0.47ns -0.48ns 0.03ns
BMFV (g m-2) - - 0.37ns 0.23ns 0.70** -0.19ns 0.60* -0.18ns -0.23ns 0.25ns
VNM-2 - - - 0.91** -0.36ns 0.36ns -0.28ns 0.48ns 0.41ns 0.41ns
SNM-2 - - - - -0.49* 0.68** -0.28ns 0.33ns 0.26ns 0.23ns
P200S (g) - - - - - -0.54* 0.80** -0.56* -0.52* -0.07ns
SV-1 - - - - - - -0.15ns -0.02ns -0.03ns -0.16ns
AP (cm) - - - - - - - -0.66** -0.65** -0.21ns
IF (Días) - - - - - - - - 0.98** 0.71**
A (Días) - - - - - - - - - 0.69 **
MF (Días) - - - - - - - - - -

RS: rendimiento de semilla; BMA: biomasa aérea; VN M-2: vainas normales m-2; SN M-2: semillas normales m-2; P100S: peso de 100 semillas; S V: semillas por vaina; AP: altura de planta; IF: inicio de floración; F: floración; MF: madurez fisiológica, en variedades de frijol del tipo ‘Flor de Mayo’ y frijol negro en promedio de primavera-verano 2013 y verano-otoño 2014, y riego y secano, Montecillo, Texcoco, Edo. de México. *(p ≤ 0.05); **(p ≤ 0.01); ns = no significativo.
Fuente: Elaboración propia. Descargar Tabla

El peso de 100 semillas, además de relacionarse positivamente con la altura de planta, se relacionó negativa y significativamente con el número de semillas por vaina y número de días a inicio de floración y días a floración; la altura de planta, además de haberse relacionado positivamente con el rendimiento de semilla, biomasa aérea y el peso de 100 semillas, se relacionó negativamente con el número de días a inicio de floración y días a floración (tabla 6).

Las correlaciones positivas entre el rendimiento de semilla y la biomasa aérea, peso de 100 semillas y altura de planta en promedio de ciclos de cultivo, años y contenido de humedad en el suelo confirmaron reportes previos (Barrios-Gómez et al., 2010; Morales-Rivera et al., 2015).

Estos resultados indican que los genotipos que produjeron alto rendimiento de semilla, también tuvieron alta biomasa aérea, semilla de mayor peso y produjeron plantas altas, caracteres relacionados con el rendimiento tanto en condiciones favorables de humedad como en condiciones de déficit hídrico (Beebe, Rao, Cajiao & Grajales, 2008; Klaedtke et al., 2012); mayor altura de planta implica mayor biomasa en la planta y esta mayor biomasa, puede significar mayor disponibilidad de fotoasimilados para una mayor capacidad de removilización y asignación de reservas de los tallos y ramas a la semilla, y al rendimiento económico del cultivo en condiciones de humedad y estrés hídrico (Klaedtke et al., 2012).

En el presente estudio, el rendimiento y sus componentes disminuyeron por efecto del ciclo de cultivo y el déficit hídrico en temporal. Sin embargo, los resultados tienen implicaciones en la selección para resistencia a sequía; se identificó al menos un genotipo con estabilidad en el rendimiento y sus componentes en condiciones de riego y temporal con déficit hídrico y también se identificaron algunos caracteres de la planta altamente correlacionados con el rendimiento de semilla, que al parecer se podrían utilizar en la selección exitosa de genotipos resistentes a sequía, asumiendo su alta heredabilidad, baja interacción genotipo × ambiente y facilidad para la selección.

CONCLUSIONES

El ambiente integrado por el ciclo de cultivo y el contenido de humedad edáfica redujo el rendimiento de semilla y sus componentes y modificó la fenología en todos los genotipos de frijol.

La menor proporción de lluvia registrada durante la etapa reproductiva en el ciclo VO2014 redujo la disponibilidad de humedad en el suelo y causó una severa reducción en el rendimiento y sus componentes con respecto al ciclo PV2013; el rendimiento de semilla, biomasa aérea, y número de vainas y semillas normales m-2, disminuyeron 35%, 51%, 50% y 63%, y el inicio de floración, floración y madurez fisiológica en VO2014 ocurrieron 5 d, 6 d y 7 d después que en PV2013.

El déficit hídrico del suelo durante la etapa reproductiva tuvo menor efecto que el déficit hídrico en todo ciclo de cultivo; las deficiencias hídricas del suelo en secano disminuyeron el rendimiento de semilla, biomasa aérea, y el número de vainas y semillas normales m-2 en 17%, 16%, 19% y 19% con respecto a riego; en secano el inicio de floración, floración y madurez fisiológica se presentaron 10 d, 2 d y 2 d antes que en riego.

Las variedades FM 2000 y FM RMC exhibieron el más alto rendimiento de semilla y biomasa aérea en promedio de los dos ciclos de cultivo y niveles de humedad en el suelo, debido a un mayor número de vainas y semillas normales m-2, peso de 100 semillas, altura de planta y menor número de días al inicio de floración y floración.

El ciclo de cultivo, el contenido hídrico del suelo y la variedad influyeron en la interacción ambiente × genotipo; las variedades FM 2000 y FM RMC, exhibieron mayor rendimiento de semilla que los demás genotipos del tipo 'Flor de Mayo', criollos y negros en promedio de PV2013, VO2014, riego y secano; la variedad FM 2000 mostró el más alto rendimiento de semilla y la mayor estabilidad del rendimiento en promedio de los ciclos de cultivo y tratamientos de humedad del suelo.

REFERENCIAS

Comstock, R. E., & Moll, R. H. (1963). Genotype-environment interactions. Symposium on statistical genetics and plant breeding. National Academy of Science-National Research Council (164-196). Washington, D.C., USA. Publication 982.

García, E. (1987). Modificaciones al sistema de clasificación climática de Köppen. 4a. ed. Instituto de Geografía, UNAM. México, D.F.

Morales-Rivera, A., López-Castañeda, C., Kohashi-Shibata, J., Miranda-Colín, S., & García-Esteva, A. (2015). Comparación de los componentes del rendimiento en variedades de frijol en condiciones de acidez y humedad residual del suelo en el sur de Veracruz. Terra Latinoamericana, 33(4), 309-319.