Recibido: 11 de mayo del 2017
Aceptado: 20 de marzo del 2018
Publicado: 15 de octubre del 2018
Cómo citar:

García Grajales, J., & Buenrostro Silva, A. (2018). Crocodile attacks in Oaxaca, Mexico: An update of its incidences and consequences for management and conservation. Acta Universitaria, 28(Online First), 1-8. doi: 10.15174/au.2018.1924

doi:10.15174/au.2017.1924 ǀ ISSN online 2007 - 9621
Crocodile attacks in Oaxaca, Mexico: An update of its incidences and consequences for management and conservation
Ataques de cocodrilos en Oaxaca, México: Una actualización de los incidentes y consecuencias para su manejo y conservación

Jesús García Grajalesº*, Alejandra Buenrostro Silva**

Instituto de Recursos, 71980, Puerto Escondido, Municipio de San Pedro Mixtepec, Oaxaca, México. E-mail: archosaurio@yahoo.com.mx, Telephone number: 01 954 48 24990, extension: 311.
** Instituto de Industrias; campus Puerto Escondido; Universidad del Mar.
° Corresponding author.
Keywords:
American crocodile; conflict; public safety; human-crocodile; Oaxaca.
Palabras Clave:
Cocodrilo americano; conflicto; seguridad pública; humano-cocodrilo; Oaxaca.

ABSTRACT

Human-crocodile conflicts in Mexico often have a political dimension due to public safety. The aim of this work was to update analyses of the incidence of crocodile attacks on humans in Oaxaca and to identify patterns or trends that could have relevance to future conflict mitigation. We compiled attack records from 2004 to 2017. The highest proportion of attacks (64%) and deaths (12%) occurred on the northwest coast in two periods of the year related with the nesting and rainy seasons. No differences existed between the seasons in the number of crocodile attacks and the mean number of attacks between years. The attacks were related with fishing activity (40%); male victims (92%) were more common than female, and a higher proportion of fatal cases of victims were children (< 10 years). We recommended essential baseline surveys and suggested public education about crocodile awareness and risks.

RESUMEN

El conflicto entre humanos y cocodrilos en México presenta una dimensión política debido a la situación de seguridad pública. El objetivo de este trabajo fue realizar un análisis de las incidencias de ataque de cocodrilos sobre humanos en Oaxaca e identificar los patrones o tendencias que podrían ser relevantes para las futuras acciones de mitigación. Compilamos registros sobre ataques de cocodrilos de 2004 a 2016. La mayor proporción de ataques (63.8%) y muertes (13.6%) ocurrieron en la costa noroeste del estado en dos periodos relacionados con la anidación y la temporada de lluvias. No existieron diferencias significativas entre las temporadas en el número de ataque de cocodrilos y el número promedio de ataques por año. Los ataques se relacionaron con la actividad de pesca (36.4%), las víctimas masculinas fueron más comunes que las mujeres y una alta proporción de los casos fatales correspondieron a niños (< 10 años). Recomendamos establecer monitoreos poblacionales y sugerimos se realice educación pública acerca de la presencia de cocodrilos y el riesgo de interacción.

INTRODUCTION

The human population expansion is a major cause of species decline and biodiversity loss. Particularly, crocodiles are vulnerable to this human expansion, because their feeding habits directly conflict with humans and their resources (García-Grajales, 2013; Treves & Karanth, 2003; Woodroffe, 2000). In Mexico, these conflicts often have a political dimension and should receive attention on the part of the Federal Government to improve public safety and to prevent the extermination of crocodiles by local communities (García-Grajales, 2013), which often react emotionally to the event (Lamarque et al., 2009). Direct killing, as a result of human-wildlife conflict, remains as the greatest threat to the persistence of crocodile populations (Campbell, Dwyer, Irwin & Franklin, 2015; Woodroffe & Ginsberg, 1998); therefore, their preservation throughout their range is becoming of central concern to conservation managers (Metz, Smith, Vucetich, Stahler & Peterson, 2012; Steinmetz, Seuaturien & Chutipong, 2013).

Crocodylus acutus can be found in coastal rivers, swamps, estuaries, lagoons, as well as in the open sea and island shorelines (Ernst, Ross & Ross, 1999). It is a suitable example of a species that generates discord, disagreement and controversy between local inhabitants, government and those seeking to preserve their populations (García-Grajales & Buenrostro-Silva, 2015a; 2015b) in Oaxaca state, because they feed on large prey items including people and livestock, and they occupy a variety of water bodies critical to the livelihoods of many people.

One of the main economic activities on the coast of Oaxaca is fishing, and many local communities are highly dependent on this natural resource and this subsistence livelihood (Hernández et al., 2005). Unfortunately, the poverty-environment relation has provoked the local communities to continue to extract from their surrounding natural resources (Hernández, Castro-Rivera, Aguilar-Benítez, & Domínguez, 2005) and, therefore, the fishing activities have a greater chance of interaction with crocodiles (García-Grajales & Buenrostro-Silva, 2015a). However, the humans of some regions of the coast of Oaxaca have always had a healthy respect for crocodilians and consider them as supernatural entities (tonales) that are linked with the soul of humans at the time of their birth (García-Grajales & Buenrostro-Silva, 2015b). The concept of tonales is a term from the Toltec Cosmology.

In recent years, reports of attacks on humans by crocodiles within the coast of Oaxaca have gained attention (García-Grajales, Buenrostro-Silva & Mata-Silva, 2014) and therefore have turned into political conflicts between locals, conservationists, resource managers and policymakers (García-Grajales, 2013; García-Grajales & Buenrostro-Silva, 2015a). These crocodile conflicts have been identified as potential threats to conservation, which highlights a need to address this perceived dispute through careful management (García-Grajales, 2013). Therefore, the aim of this work was to carry out an updated analysis of the incidences of crocodile attacks on humans, on the coast of Oaxaca, to identify patterns or trends that could have relevance to future conflict mitigation in this region and, hence, the crocodile population conservation on the coast of Oaxaca, Mexico.

MATERIALS AND METHODS

The study area was the coastal region of Oaxaca, Mexico (figure 1), encompassing the natural historical distribution of C. acutus in Oaxaca, where a range of freshwater and saline water bodies, including beaches, floodplains, lagoons, mangroves and rivers habited (Álvarez del Toro, 1974). The climate is subhumid and warm and there is a marked dry season from December to May and a rainy season from June to November, with an average annual rainfall up to 900 mm. The annual average temperature is 27 °C (García, 1988).


Figure 1 Download

Map of the coastal region of Oaxaca, Mexico divided into the three regions.
Source: Author's own elaboration.

In this work publicly available data on incidents of crocodile attacks on the coast of Oaxaca from January 2000 to April 2017 were used. For the analysis, the historic compilation data of cases were used, obtained by 1) collating the internal reports and databases kept in government agencies and police, 2) interviewing victims, witnesses, police officers, or rangers involved in the incidents, 3) searching the media for archived newspapers and websites, and 4) own experiences attending crocodile attacks in Oaxaca. Attacks related with peoples who worked with crocodiles (e.g., handling crocodiles or collecting eggs) and incidents which were not confirmed as evidence of crocodile attacks were excluded.

The coast of Oaxaca has 579 km of shoreline (Ahumada-Sempoal & Ruiz-García, 2008) and, for the purpose of this work, it is divided into three regions: a) Northwest coast, b) Central coast and c) Southern coast. Within these geographic regions, there are 20 coastal municipalities, and the geoestatistic dataset of the Instituto Nacional de Estadística y Geografía (INEGI, 2015) was utilized to generate a map.

All incidents were entered into a database and classified by date, sex, age, activity and time of incident, type of crocodile habitat, origin of the affected people, presence of witnesses, region, political unit (municipalities) and type of attack (fatal or non-fatal). Furthermore, with respect to non-fatal attacks, the type of sequelae was classified into disabling and non-disabling. The GPS coordinates for each attack were used as accurately as possible, using the most detailed information available and included them in the map. All incidents were considered unprovoked attacks in the wild and, therefore, all were included in our analysis.

We used Microsoft Excel to compile the database and XLSTATEcology (Addinsoft, Inc.) for the basic statistical analysis and preparation of figures based on attack data. The Oriana software (Kovach Computing Services) was used for the analysis of incidents through the years and timing of attacks.

RESULTS

Information was compiled on 25 unprovoked attacks by wild American crocodiles from October 2004 to April 2017, resulting in injuries or death of humans. The first crocodile attack was recorded in 2004 and occurred in the Corralero-Alotengo system in the Northwest coast. Of these 25 attacks, five (20%) were fatal and were recorded between 2008 and 2016. Additionally, only two reports of livestock attacks were registered in this work and, only in three fatal attack cases, the death of more than 20 adult crocodiles was recorded.

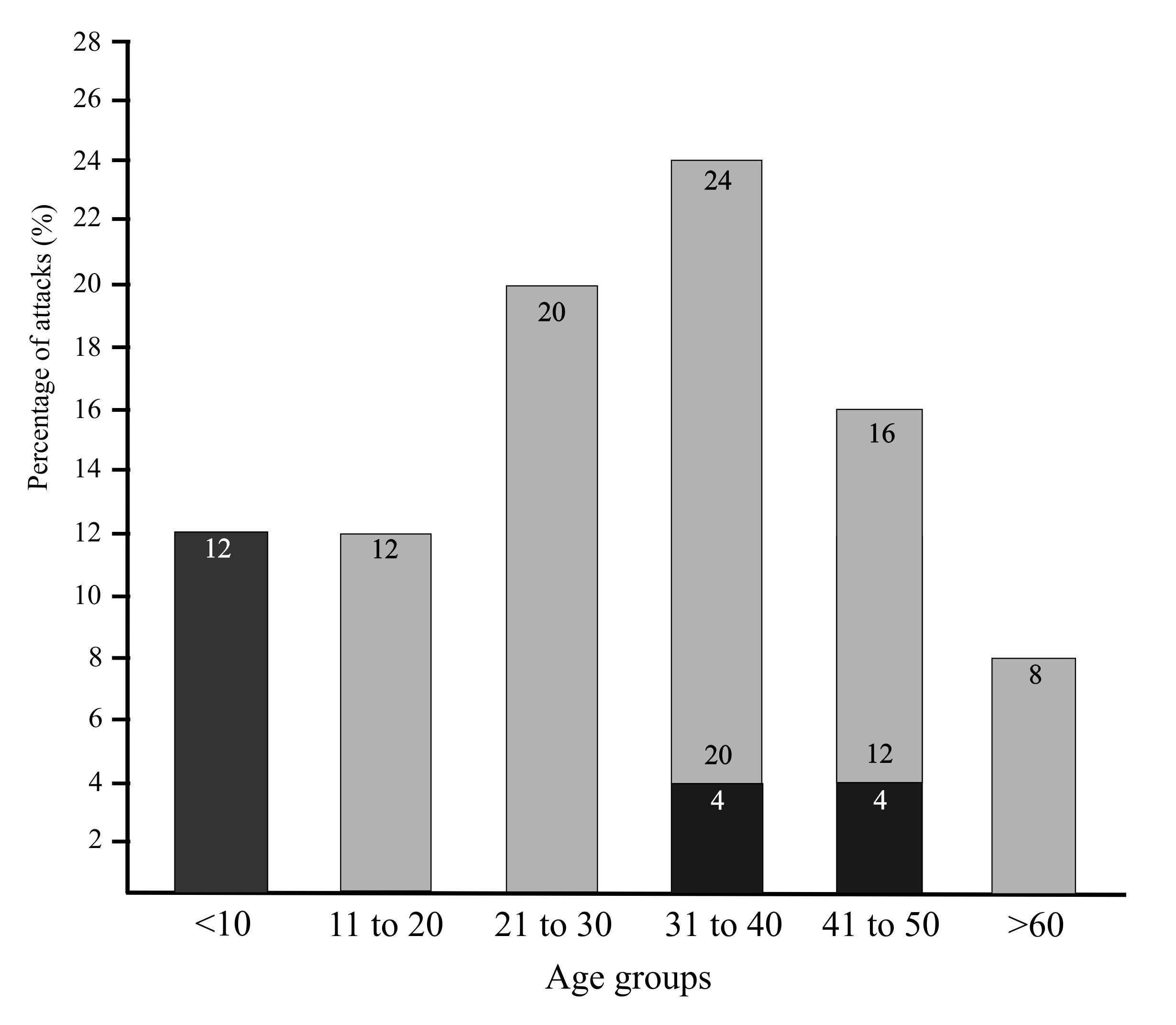
For both fatal and non-fatal attacks, male victims (92%) were more common than female, and a higher proportion of fatal cases of victims were children (< 10 years), followed by people aged 31 to 50 (figure 2), while the non-fatal attacks were evenly distributed. The local people (96%) were much more commonly involved than visitors.


Figure 2 Download

Percentage of victims per age groups at the moment of attack.
Source: Author's own elaboration.

The majority of the attacks (fatal and non-fatal combined) occurred mainly in shallow waters (< 0.5 m depth; 80%), but few non-fatal attacks were more common in deep water (> 0.5 m depth; 20%). Both fatal and non-fatal attacks occurred more commonly in the daytime; the highest proportion (92%) happened between 08 h and 16 h and included all fatal attacks (figure 3). In four cases, we could not get the exact time in which the incidents occurred, but we are certain that they occurred during the day. There are no records of attacks from the early morning hours (pre-sunrise).


Figure 3 Download

Daytime records of fatal and non-fatal attacks in the coastal of Oaxaca.
Source: Author's own elaboration.

Taking all years into account, the highest proportion of attacks (86.4%) occurred during eight months between March to November, with the fatal cases (22.7%) ocurring between the months of April-May (nesting season) and August-September (Rainy season; figure 4). Differences between months in the number of crocodile attacks were not found (fatal and non-fatal combined; X210 = 14.2, P > 0.11), and the mean number of attacks was not different between years (F 2, 4 = 1.46, P > 0.05), nor did it show an increase in the mean of crocodile attacks through the years (r2 = 0.37, P = 0.09).


Figure 4 Download

Summary of crocodile attacks in the coastal of Oaxaca per years, months and seasons.
Fuente: Elaboración propia.

Most unprovoked wild American crocodile attacks were related with fishing activity (40%), although it is important to note that the higher proportion of fatal attacks were related with playing at the water’s edge, fishing by diving, and fishing with cast nets in the shallow water (figure 5). The only report of a crocodile attack on a woman happened when she was walking on the banks of the water-body.


Figure 5 Download

Victim activity at the moment of attack as a proportion of all attacks.
Fuente: Elaboración propia.

With respect to the sequelaes as a product of a non-fatal attack, the highest proportion (68%) of victims showed non-incapacity injuries, and only three cases (12%) showed amputation of a limb (incapacity sequelae). In half of the attacks, there were witnesses who were within the legal Mexican age (> 18 years) in a higher proportion (31.8%), and in three out of four fatal cases the witnesses were under the legal Mexican age (< 18 years).

The highest proportion of attacks (64%) and deaths (20%) were registered from the northwest coast, particularly within the Municipality of Pinotepa Nacional. The southern coast showed a slightly smaller proportion of attacks (4%) and no deaths were reported, while the central coast had half of the recordings (32%) of the northwest coast.

The highest proportions (40%) of American crocodile attacks were related to the Corralero-Alotengo lagunar system (Municipality of Pinotepa Nacional), followed by Lagunas de Chacahua National Park (16%) and then by Ventanilla-Tonameca lagunar system (12%). Vainilla and Zapotengo estuaries showed a slightly smaller proportion of attacks (4%) (figure 6). Only in one instance of all crocodile attacks was it possible to capture the crocodile involved (male, 3.45 m of total length).


Figura 6 Download

Percentage of attacks records in the lagunar systems of the coast of Oaxaca.
Fuente: Elaboración propia.

DISCUSSION

Conflicts between humans and wildlife have increased worldwide due to the growing human populations and the associated land-use change (Madden, 2004). With respect to crocodile and alligator attacks, the number of cases is increasing in many parts of the world (Langley, 2005). These conflict trends have been highlighted in several scientific publications on developed nations, including saltwater crocodile (Crocodylus porosus) in Australia (Caldicott, Croser, Manolis, Webb, Britton, 2005; Campbell, Dwyer, Irwin & Franklin, 2015; Fukuda, Manolis & Appel, 2014) and Timor-Leste in the Lesser Sunda Archipelago (Sideleau, Edyvane, Britton, 2016), Nile crocodile (C. niloticus) in Namibia and Zambia, Africa (Pooley, 2015b; Wallace, Leslie & Coulson, 2011) and Mississippi alligators (Alligator mississippiensis) in the U.S.A. (Langley, 2005). With respect to Latino American countries, there is no information about analysis of attacks from crocodiles, and it is only collected as information scattered throughout the croc-bite worlwide crocodilian attack database webpage. Particularly in Mexico, the human-crocodile conflict is a significant problem, but relatively little research has been conducted to gain knowledge of the severity and frequency of these conflicts (García-Grajales, 2013), and there are reports in several states that do not allow a comparative analysis because they are isolated.

In Oaxaca state, an unknown number of incidents are not reported, probably due to minor injuries that may not require hospitalization (Pooley, 2015b; Wallace, Leslie & Coulson, 2011). However, when fatalities are more related to smaller victims (<10 years old), as it has occurred in this region, they triggered a negative reaction from local communities, and the death of an unquantified number of crocodiles ensues (García-Grajales, 2013). In South Africa, the principal victims in crocodile attacks are boys while swimming (playing) and men while fishing (Pooley, 2015a), as reported in this work. For this problem, Pooley (2015b) suggests educating children as a priority, particularly in identified hotspots areas. This could be integrated into existing modules of school education and, additionally, it is suggested that this strategy be promoted by local governments.

The high percentage of male victims is related to the prevalence of specific gender roles in the coastal plain of Oaxaca. Males are more involved in fishing activities in lagoons and estuaries (García-Grajales & Buenrostro-Silva, 2015a), and the activities most associated with attacks are fishing and swimming (Pooley, 2015b).

The northwest coast appears to have the most extensive crocodile habitat on the coast of Oaxaca, and this aligns with the highest proportion of attacks reported there. Most likely, the mangroves, lagoons, floodplains and swamps are better and more suitable habitats for crocodile populations; however, there are no population studies in this region to corroborate this claim. Therefore, the knowledge about the size and structure of local crocodile populations as well as their seasonal movements and behaviour, and anthropogenic activities that affect the distribution of crocodiles, are important for a region (Botha, Van Hoven & Guillette, 2011; Pooley, 2015a) to develop a rule of thumb for calibrating risk and identifying potential attack hotspots, and the history and trend of attacks in the area (Pooley, 2015a).

Seasonal patterns of attacks by crocodiles on the Oaxacan coast are related with nesting and rainy seasons. Regarding the nesting season, this season ocurrs between February and May (Cedillo-Leal, García-Grajales, Martínez-González, Briones-Encinias & Cienfuegos-Rivas, 2013). It is the period when the greatest numbers of attacks take place, when most large adult females are guarding their nests and fasting until their hatchlings are ready to emerge and, therefore, they are more aggressive during this period (Caldicott et al., 2005; Pooley 2015a). Because crocodiles are ectothermic and more active during the hotter months of the year (Pooley, 2015a; Wallace et al., 2011), both situations (nesting and ectothermic) align with the possible explanations for the seasonality of attacks. On the other hand, early rains in July-September fill up rivers and associated lagoons and freshwater floodplains, triggering and increasing the dispersal of crocodiles (Campbell et al., 2013; Pooley 2015a; Webb, 1991). They are also capable of moving to distant sites where the local residents are not aware of the new presence of crocodiles and, by consequence, there is a major likelihood of incidents with children. In Australia, most victims of crocodile attacks were swimming at the time of the attack and the periods in which the attacks ocurred are related with the rainy and nesting season (Fukuda et al., 2014).

Other factors that may also contribute to higher encounter rates with crocodiles are human activities (Fukuda et al., 2014). The subsistence-fishing activities of coastal communities in Oaxaca are mainly carried out during the daylight (García-Grajales, & Buenrostro-Silva, 2015a), and this is the possible explanation for the highest proportion of attacks during this time. Fishing activities are recognised as the most dangerous due to the high incidence of attacks and the high-risk activity in other studies (Wallace et al., 2014).

The capture of crocodiles involved in the attacks is necessary, because only measurements of trapped or killed individuals can inform precise analysis (Pooley, 2015a) as to the gender and size (Ross, 2000). In Australia, data indicate that Crocodylus porosus of about 300 cm - 350 cm in length should be targeted for removal from areas intensively used by the public (Fukuda et al., 2014), whereas in South Africa the Nile crocodiles > 280 cm should be removed (Pooley, 2015b). Pooley (2015b) explains that the removal of problem crocodiles, and occasionally the destruction of large problem crocodiles, is a key mitigation strategy if humans and crocodiles are to continue to co-exist. This practice was a widely suggested solution to reduce the number of attacks and has been cited as an effective technique in Australia (Nichols & Letnic, 2008). However, before carrying out a relocation or removal, it is necessary to correctly identify the problem crocodile in order to avoid excessive removals of large breeding animals that deplete the wild populations (Wallace et al., 2011). However, in Mexico the capturing of a problem crocodile requires an extensive bureaucratic process due to the fact that the American crocodile is considered an endangered species.

During the time in which this work was revised, other seven incidents took place in the coast of Oaxaca and therefore the number of cases increases to 32 until November of 2017.

Possible solutions to Human-Crocodile Conflict in Oaxaca

A strategy for preventing or reducing crocodile attacks based on a national protocol was published by the federal government in 2013 (García-Grajales, 2013); however, to date, this protocol is not functional. The public safety should be a priority in the management of American crocodiles on the coast of Oaxaca. To mitigate this conflict, it is necessary that local authorities establish a public safety program with the goal of raising awareness of the risk of crocodile attacks. This program should accomodate for the varying levels of education, depending on the public concern triggered by historical attacks data. In Australia, the government’s safety program consists of two major components: education for safety awareness and removal of problem crocodiles (Fukuda et al., 2014). With respect to the public education program, the strategy involved the installation and maintenance of warning signs in crocodile habitats with frequent human access, providing information exhibits and talks at local events and schools, and advertizing public notices in a variety of media (e.g. local television, radio, newspaper, and websites) (Fukuda et al., 2014). The program to remove problem crocodiles, on the other hand, was established mainly around human settlements (Fukuda et al., 2014). However, it is necessary, in the particular case of Oaxaca, to gather sufficient data about the size and structure of local crocodile populations, similar to the work of García-Grajales, Montoya-Márquez, Buenrostro-Silva, Rosales-Jaillet & Sánchez-Estudillo (2008) and García-Grajales & Buenrostro-Silva (2014; 2015a; 2017), mainly in the regions historically susceptible to crocodile attacks.

Gathering long-term data on crocodiles’ attacks to predict future attacks is necessary (Campbell et al., 2015; Pooley, 2015a). It is proposed to create a new crocodile conflict network composed of volunteers at academic institutions, state and federal wildlife service agencies, public and private fishing groups, lifeguards, and individuals who respond to, or provide professional advice on human-crocodile conflict events. Ministry of Environment and Natural Resources (Semarnat, for its acronym in Spanish) and Federal Attorney for Environment Protection (Profepa, for its acronym in Spanish) of Oaxaca state coordinate these activities, but the local authorities should be more proactive in implemeting this initiative. This network will allow compiling information related to the human victims, such as gender, location and activity at the time of attack as well as aid to facilitate targeted mitigation and long-term ecological analysis and social data on both crocodiles and humans.

ACKNOWLEDGEMENTS

We give thanks to Universidad del Mar (UMAR) for providing the logistics facilities, Deanna Patricia Strikaitis (UMAR) for her revision to English manuscript and two anonymous reviewers for improvement of the manuscript.

REFERENCES

García-Grajales, J., Buenrostro-Silva, A., & Mata-Silva, V. (2014). New human-crocodile conflict incidents in Oaxaca, Mexico. Crocodile Specialist Group Newsletter, 32, 28-29.

Pooley, S. (2015a). Using predator attack data to save lives, human and crocodilian. Oryx, Fauna and Flora International, 49(4), 581-583. doi: https://doi.org/10.1017/S0030605315000186

Pooley, S. (2015b). Crocodile conflict in South Africa and Swaziland, 1949-2014. 23rd Working Meeting of the IUCN-SSC Crocodile Specialist Group of the Species Survival Commission of the IUCN, At Lake Charles, Louisiana, USA

Ross, J. P. (2000). Problems of succes: conservation consequences of crocodile-human conflict. Species, 33, 50-51.

Sideleau, B., Edyvane, K. S., & Britton, A. R. (2016). An analysis of recent saltwater crocodile (Crocodylus porosus) attacks in Timor-Leste and consequences for management and conservation. Marine and Freshwater Research, 68(5), 801-809. doi: http://dx.doi.org/10.1071/MF15354

Webb, G. J. W. (1991). The influence of season on Australia crocodiles. In M. G. Ridpath, C. M. Haynes, & M. A. J. Williams (Eds.). Moonsonal Australia-Landscape, ecology and man in the northern lowlands (pp. 125-131). Netherlands: Balkema Press.