Vol. 26 (2016): (NE-3) Redes de Agua y Drenaje
Artículos de Investigación

Series de Fourier y polinomios de Chebyshev aplicados a la previsión de demanda de agua en tiempo real

Bruno Brentan
Faculdad de Engenharia Civil (FEC)-Unicamp
Edevar Luvizotto Jr.
Faculdad de Engenharia Civil (FEC)-Unicamp
Joaquín Izquierdo
Universtitat Politècnica de València
Biografía
Rafael Pérez-García
Faculdad de Engenharia Civil (FEC)-Unicamp

Publicado 2017-03-03

Palabras clave

  • Water supply networks,
  • real-time forecasting,
  • water demand,
  • Fourier series,
  • Chebyshev polynomials.
  • Redes de abastecimiento de agua,
  • previsión en tiempo real,
  • demanda de agua,
  • series de Fourier,
  • polinomios de Chebyshev.

Cómo citar

Brentan, B., Luvizotto Jr., E., Izquierdo, J., & Pérez-García, R. (2017). Series de Fourier y polinomios de Chebyshev aplicados a la previsión de demanda de agua en tiempo real. Acta Universitaria, 26, 74–81. https://doi.org/10.15174/au.2016.1022

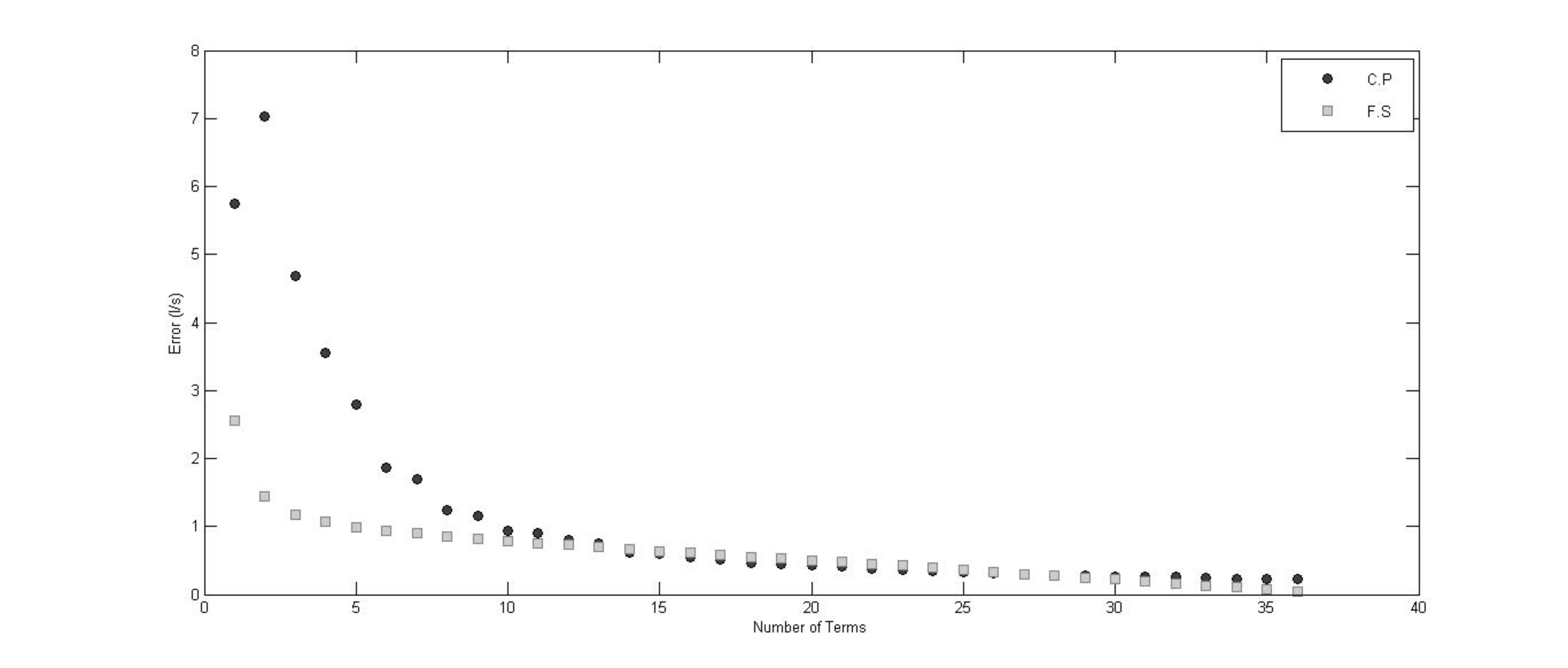
Resumen

La importancia de la previsión de la demanda de agua aumenta con la complejidad de los sistemas de abastecimiento de agua. Muchos métodos de predicción de demanda de agua, básicamente fundados en el análisis de series temporales y en mecanismos de regresión basados en métodos de aprendizaje automático, han sido propuestos en la literatura. Los últimos necesitan de un estudio detallado de las variables involucradas y de la elección de la mejor arquitectura para la producción de resultados relevantes. Ese trabajo propone como alternativa aplicar dos métodos conocidos de aproximación de datos, a saber, las series discretas de Fourier y los polinomios de Chebyshev, a la previsión de demanda en tiempo real con actualización instantánea de los coeficientes ajustables en cada una de las funciones. Para contrastar la metodología propuesta se analizó un sector de una red real de abastecimiento de agua. Los resultados obtenidos muestran una buena aproximación entre los valores medidos y los predichos. El punto más interesante de la aplicación es la agilidad de cálculo y el hecho de que no hay necesidad de tener información de los factores que influyen en la demanda de agua.